JavaScript is disabled in your browser. Please enable JavaScript to view this website.
AB65354

Superoxide Dismutase Activity Assay Kit (Colorimetric)

4

(2 Reviews)

|

(338 Publications)

Superoxide Dismutase (SOD) Activity Assay Kit (Colorimetric) ab65354 is a simple 30 min assay for superoxide dismutase (SOD) activity. Readout on any colorimetric (450 nm) microplate reader.

- Results in just 30 min
- Ease of use: highly rated by customers
- Trusted by the scientific community: cited in >290 publications
- Individual kit components also available for purchase with a minimum order of 20 units. Contact us to discuss your needs.

View Alternative Names

Superoxide dismutase [Cu-Zn], Hydrogen sulfide oxidase, Superoxide dismutase 1, hSod1, SOD1, Extracellular superoxide dismutase [Cu-Zn], EC-SOD, SOD3, SOD2

8 Images
Functional Studies - Superoxide Dismutase Activity Assay Kit (Colorimetric) (AB65354)
  • FuncS

Lab

Functional Studies - Superoxide Dismutase Activity Assay Kit (Colorimetric) (AB65354)

Superoxidase dismutase (ab90040) measured showing inhibition rate (%) per concentration (microgram per mL)

Functional Studies - Superoxide Dismutase Activity Assay Kit (Colorimetric) (AB65354)
  • FuncS

PubMed

Functional Studies - Superoxide Dismutase Activity Assay Kit (Colorimetric) (AB65354)

Park J et al investigates the recovery in erectile function after administration of chronic statin alone in DM (streptozotocin (STZ)-induced diabetes mellitus) rats. SOD activity was determined using Superoxide Dismutase activity assay kit (ab65354).

* Indicates statistical significance in comparison with DM group (P < 0.05). # Indicates statistical significance in comparison with the statin group (P<0.05).

Image from Park J et al., PLoS One 12(2), fig 4b. Doi: 10.1371/journal.pone.0172751 Reproduced under the Creative Commons license http://creativecommons.org/licenses/by/4.0/

Functional Studies - Superoxide Dismutase Activity Assay Kit (Colorimetric) (AB65354)
  • FuncS

Lab

Functional Studies - Superoxide Dismutase Activity Assay Kit (Colorimetric) (AB65354)

Superoxide dismutase measured in biofluids at various dilutions

Functional Studies - Superoxide Dismutase Activity Assay Kit (Colorimetric) (AB65354)
  • FuncS

Supplier Data

Functional Studies - Superoxide Dismutase Activity Assay Kit (Colorimetric) (AB65354)

Principle of Superoxide Dismutase Assay.

Biochemical assay - Superoxide Dismutase Activity Assay Kit (Colorimetric) (AB65354)
  • Biochemical assay

PubMed

Biochemical assay - Superoxide Dismutase Activity Assay Kit (Colorimetric) (AB65354)

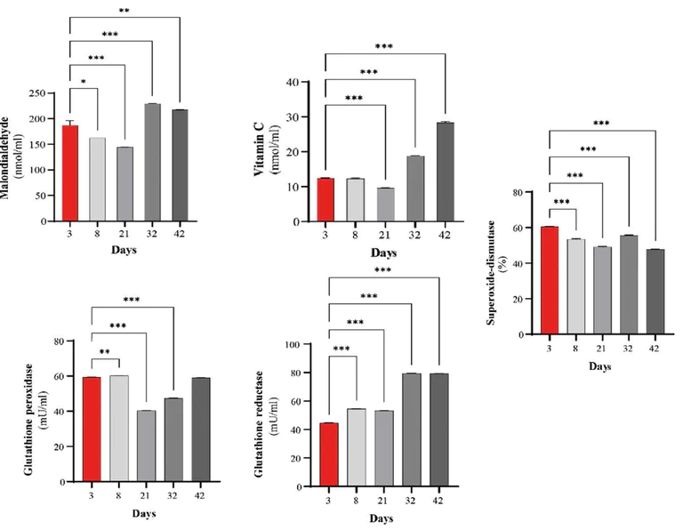
Pesti-Asboth et al used Lipid Peroxidation (MDA) Assay Kit ab118970, Vitamin C Assay Kit ab65656, Glutathione Peroxidase Assay Kit ab102530, Glutathione Reductase Assay Kit ab83461, and Superoxide Dismutase Assay Kit ab65354 to investigate changes in redox in the plasma of fast growing broiler chickens.

Changes in the redox parameters in blood plasma at Days 3, 8, 21, 32, and 42. Significant differences were determined by comparing the data from each time point with the data from the first time point. Data are expressed as the means ±8 SEMs; *p<0.05, ** p<0.005, *** p<0.001.

Lipid peroxidation was determined using a commercially available assay kit (ab118970, Abcam, Cambridge, United Kingdom). The measurements were based on the reaction between MDA and thiobarbituric acid (TBA). All reagents and standard solutions were prepared according to the manufacturer's instructions. Plasma samples (20 μl) were mixed with 500 μL of 42 mM H2SO4, 125 μL of phosphotungstic acid solution was added, and each sample was mixed by vortexing and incubated at room temperature for 5 minutes. After incubation, we centrifuged the samples at 13000 x g for 3 minutes. The pellet was collected and resuspended in 100 μL of distilled water on ice with 2 μL of butylated hydroxytoluene (BHT) (100-fold dilution). The final volume was adjusted to 200 μL with distilled water. After sample preparation, the assay was performed. The MDA-TBA adduct was generated in each sample and standard solution. The TBA reagents (600 μl) were added to the samples and standards for incubation at 95°C for 60 minutes. The reaction mixes were cooled in an ice bath for 10 minutes after incubation. The samples and standards were placed in duplicate in a 96-well microplate for analysis. The absorbance of the MDA-TBA adduct was measured at 532 nm, and the calculated concentrations are expressed in nmol/ml.

To determine the vitamin C concentration, a plasma-specific assay kit was used (ab65656, Abcam, Cambridge, United Kingdom) [34–36]. The measurements were performed according to the protocol in the manual with some modifications. The kit's supernatant assay buffer was set to pH 7.0 with NaOH (10 M). The kit provides a sensitive method for vitamin C measurement. Plasma vitamin C reduces Fe3+ to Fe2+, which shows strong absorbance that can be monitored between 545–600 nm. The reagent and standard were prepared as described in the protocol. Fifty microliters of each plasma sample, run in duplicate, was diluted two fold for measurement. The assay procedure was followed as described in the manual. The absorbance of each sample was measured at 593 nm, and the concentrations were calculated as recommended and are expressed in nmol/ml.

The activity of Glutathione peroxidase (GPx) was measured with a commercially available kit (ab102530, Abcam, Cambridge, United Kingdom). In the assay, GSSG produced after GPx oxidizes GSH during H2O2 reduction. GSSG is reduced back to GSH by GR with the aid of nicotinamide adenine dinucleotide phosphate (NADPH). The reduction of NADPH is proportional to GPx activity and can be measured colorimetrically at 340 nm. The kit reagents were dissolved as described in the manual. A standard curve was prepared as described in the kit. The activity of GPx is expressed as mU/ml.

The activity of Glutathione reductase (GR) in plasma was determined using a specific assay kit (ab83461, Abcam, Cambridge, United Kingdom). In this assay, GSH is formed from GSSG by GR; then, GSH reacts with DTNB, and a 2-nitro-5-thiobenzoate anion (TNB2-) is generated. The change in absorbance was measured at 405 nm. The kit reagents were dissolved as described in the "components and storage" section. The protocol recommends pretreating the samples. First, 5 μL of 3% H2O2 was added to 100 μL of each sample. The samples were incubated at 25°C for 5 min. Then, 5 μL of catalase was added to each sample, and we incubated the samples again at 25°C for another 5 min. After the pretreatment procedure, 50 μL of each pretreated sample was added to the sample wells. The standard curve was prepared as described in the manual, and 50 μL of diluted standard solution was added to each well. GR activity is expressed in nmol/min/mL = mU/ml.

The superoxide dismutase(SOD)inhibition rate was measured with a specific assay kit (ab65354, Abcam, Cambridge, United Kingdom). In this assay, xanthine oxidase produced superoxide anions, and the conversion of superoxide anions into hydrogen peroxide was catalyzed by SOD. Superoxide anions and the water-soluble tetrazolium salt WST-1 can react to produce a water-soluble formazan dye, the absorbance of which was detected at 450 nm. The reagents were prepared as described in the kit. First, 20 μL of Blank 1, Blank 2, Blank 3 or sample was added to a 96-well plate in duplicate. Then, WST-1 solution (200 μl) was added to each blank and sample. Twenty microliters of dilution buffer were added to the Blank 2 and Blank 3 solutions. Enzyme working solution (20 μl) was added to each sample and Blank. Then, the plate was incubated at 37°C for 20 minutes. The absorbance (A) was then measured at 450 nm.

Biochemical assay - Superoxide Dismutase Activity Assay Kit (Colorimetric) (AB65354)
  • Biochemical assay

PubMed

Biochemical assay - Superoxide Dismutase Activity Assay Kit (Colorimetric) (AB65354)

Tran et al used Lipid Peroxidation (MDA) Assay Kit ab118970 and Superoxide Dismutase Assay Kit ab65354 to investigate the effects of Gb and Ocs extracts on antioxidant enzyme activity in the brain parenchyma of the PTZ-induced epilepsy mouse model.

The quantitative measurement of antioxidant enzymes and MDA from whole-brain tissue lysates at D31 in each group treated with various combinations of drugs. Mean (n = 3) ± SD. **P ≤ 0.01 and ***P ≤ 0.001 vs. control group; #P ≤ 0.05, ##P ≤ 0.01, and ###P ≤ 0.001 vs. the PTZ group.

Lipid peroxidation (MDA) assay kits (#ab118970) were purchased from Abcam (Cambridge, UK). The SOD Activity Assay Kit (#K335-100) was purchased from BioVision, Inc. (Waltham, MA, USA) [Biovision assay kits are now manufactured by Abcam].

Biochemical assay - Superoxide Dismutase Activity Assay Kit (Colorimetric) (AB65354)
  • Biochemical assay

PubMed

Biochemical assay - Superoxide Dismutase Activity Assay Kit (Colorimetric) (AB65354)

Bejoy et al used Lipid Peroxidation (MDA) Assay Kit ab118970 and SOD Assay Kit ab65354 to investigate the impact of cell-free hemoglobin (CFH) on ROS in transwell kidney organoids.

Co-staining for ROS (red), DAPI to mark nuclei (blue) and the proximal tubule marker LTL (green) in human kidney organoids (n=3 organoids from three independent experiments). Scale bars : 50 μm. Malondialdehyde (MDA) assay in untreated organoids versus kidney organoids receiving the CFH treatment. Superoxide dismutase (SOD) assay for the control and CFH-treated organoid groups (n=3). Bars show median values. ns, not significant; *p<0.05; **p<0.01; ****P≤0.0001 (unpaired two tailed t-test.

Free radicals present in cell culture can increase peroxidation of lipids present on cell membranes, resulting in cell damage. Lipid peroxidation causes formation of reactive aldehydes including MDA, which can be used to assess oxidative stress. The MDA assay was carried out using a commercially available kit (ab118970, Abcam) following the manufacturer's instructions. Briefly, 200 μl of cell culture supernatant was aliquoted for the assay. MDA standards were also prepared. Then 600 μl of the thiobarbituric acid reagent was added both to the samples and to the MDA standards and incubated at 95°C for 60 min. Tubes were cooled to room temperature using an ice bath for 10 min, 200 μl of the cooled solution was added to one well of 96-well plates (three biological replicates), and the absorbance was immediately measured on a microplate reader to calculate the OD at 532 nm. The standard curve was plotted, and the MDA concentrations of the samples were calculated. Increased MDA concentration is associated with increased oxidative stress.

The SOD assay was carried out using the commercially available SOD kit (Abcam, Waltham, MA, USA) following the manufacturer's instructions. The cell culture medium was collected and 20 μl of each sample was used for analysis. Samples were prepared with and without addition of SOD enzyme solution for the blank correction. To the 20 μl sample, 200 μl of the WST working solution was added. The assay uses a tetrazolium salt WST-1, which produces a water-soluble formazan dye upon reduction with superoxide anion. The WST-1 reduction is linearly related to SOD-mediated inhibition activity of xanthine oxidase. SOD catalyzes the dismutation of the superoxide anion into hydrogen peroxide and molecular oxygen, resulting in decrease of WST-1 reduction. The inhibition activity of SOD was measured by colorimetric measurement of OD at 450 nm.

Other - Superoxide Dismutase Activity Assay Kit (Colorimetric) (AB65354)
  • Other

Supplier Data

Other - Superoxide Dismutase Activity Assay Kit (Colorimetric) (AB65354)

Representative image of Superoxide Dismutase Activity Assay Kit (Colorimetric) ab65354

Components shown from left to right :

- SOD Enzyme Solution

- WST Reagent II

- SOD Dilution Buffer

- SOD Assay Buffer

Note : The vial labels shown in this image use generic names for illustrative purposes only and may not exactly match the specific component names included in the kit.

Note : Colors of solutions in image may not precisely match the shade of colors in the actual kit.

Key facts

Detection method

Colorimetric

Sample types

Plasma, Tissue Extracts, Cell culture media, Serum, Other biological fluids, Cell Lysate

Assay type

Enzyme activity

Assay time

30m

Assay Platform

Microplate reader

Reactivity data

{ "title": "Reactivity Data", "filters": { "stats": ["", "Reactivity", "Dilution Info", "Notes"] }, "values": { "Enzyme activity assay": { "reactivity":"TESTED_AND_REACTS", "dilution-info":"", "notes":"<p></p>" } } }

Product details

Superoxide Dismutase Activity Assay Kit (Colorimetric) ab65354 is a simple and rapid assay for superoxide dismutase (SOD) activity.

In the SOD assay protocol:
- superoxide anions are produced by the action of xanthine oxidase
- SOD catalyzes the dismutation of the superoxide anion into hydrogen peroxide and O2
- superoxide anions act on WST-1 to produce a water-soluble formazan dye which can be detected by the increase in absorbance at 450 nm
The greater the activity of SOD in the sample, the less formazan dye is produced.

Superoxide dismutase assay protocol summary:
- add samples to wells
- add WST-1 working solution and enzyme working solution and incubate for 20 min at 37°C
- analyze with microplate reader

Superoxide dismutase (SOD) is one of the most important antioxidative enzymes. It catalyzes the dismutation of the superoxide anion into hydrogen peroxide and molecular oxygen. **Related products** Review the to learn about more assays for oxidative stress.

The Safety Datasheet for this product has been updated for certain countries. Please check the current version in the Support and downloads section.

What's included?

{ "values": { "2000Test": { "sellingSize": "2000 Test", "publicAssetCode":"ab65354-2000Test", "assetComponentDetails": [ { "size":"20 x 1 mL", "name":"WST Reagent II", "number":"AB65354-CMP04" }, { "size":"20 x 1 Vial", "name":"SOD Enzyme Solution", "number":"AB65354-CMP03" }, { "size":"20 x 10 mL", "name":"SOD Dilution Buffer", "number":"AB65354-CMP02" }, { "size":"20 x 20 mL", "name":"SOD Assay Buffer", "number":"AB65354-CMP01" } ] }, "100Test": { "sellingSize": "100 Test", "publicAssetCode":"ab65354-100Test", "assetComponentDetails": [ { "size":"1 x 1 mL", "name":"WST Reagent II", "number":"AB65354-CMP04", "productcode":"" }, { "size":"1 x 1 Vial", "name":"SOD Enzyme Solution", "number":"AB65354-CMP03", "productcode":"" }, { "size":"1 x 10 mL", "name":"SOD Dilution Buffer", "number":"AB65354-CMP02", "productcode":"" }, { "size":"1 x 20 mL", "name":"SOD Assay Buffer", "number":"AB65354-CMP01", "productcode":"AB323972" } ] } } }

Properties and storage information

Shipped at conditions
Blue Ice
Appropriate short-term storage conditions
-20°C
Appropriate long-term storage conditions
-20°C
Storage information
Please refer to protocols

Supplementary information

This supplementary information is collated from multiple sources and compiled automatically.

Superoxide dismutase also called SOD functions as an antioxidant enzyme that converts superoxide radicals into oxygen and hydrogen peroxide. It plays a critical role in reducing oxidative stress in cells. The enzyme exists in several isoforms including SOD1 SOD2 and SOD3 each with different cellular localizations and cofactors. SOD1 or cytosolic copper-zinc superoxide dismutase has a mass of approximately 32 kDa and is found in the cytoplasm. SOD2 known as manganese superoxide dismutase is mitochondrial and shares similar antioxidant functions. SOD3 is extracellular and has a distinct expression pattern mostly found in tissues like lungs and blood vessels.
Biological function summary

SOD enzymes protect cells by dismutating reactive superoxide radicals preventing cellular damage and apoptosis. These enzymes although not forming large protein complexes have critical interactions with cellular systems maintaining redox balance. Superoxide radicals if not regulated can lead to lipid peroxidation DNA damage and protein oxidation disrupting normal cellular processes. Superoxide dismutases thereby hold a defensive position in maintaining physiological homeostasis.

Pathways

Superoxide dismutase enzymes especially within the reactive oxygen species (ROS) signaling pathway contribute to cellular defense mechanisms. In the antioxidant defense pathway SOD enzymes act alongside catalase and glutathione peroxidase. They modulate oxidative stress levels that play a signal transduction role in processes like cell proliferation and apoptosis. This activity links them with proteins like catalase which further catabolize hydrogen peroxide into water and oxygen completing the detoxification process initiated by SOD.

Superoxide dismutases are associated with neurodegenerative diseases and cancer. Mutations in SOD1 have links to amyotrophic lateral sclerosis (ALS) where misfolded proteins lead to motor neuron degeneration. SOD activity levels altered oxidative stress responses and faulty mitochondrial functions connect with Alzheimer's disease. The disease associations also include seemingly related proteins like TDP-43 in ALS pointing towards a wider network of dysfunction in oxidative stress pathways.

Product protocols

Target data

Destroys radicals which are normally produced within the cells and which are toxic to biological systems (PubMed : 24140062). Catalyzes the oxidation of hydrogen sulfide (H2S) to sulfate, playing an important role in detoxifying H2S and limiting the accumulation of reactive sulfur species (RSS) such as persulfides and polysulfides (PubMed : 36630448).
See full target information SOD1

Additional targets

Superoxide dismutase [Mn], mitochondrial,Extracellular superoxide dismutase [Cu-Zn]

Publications (338)

Recent publications for all applications. Explore the full list and refine your search

Chemical biology & drug design 105:e70142 PubMed40556500

2025

Apelin-13 Protects Against Airway Inflammation, Oxidative Stress, and Epithelial-Mesenchymal Transition in a Chronic Asthma Model.

Applications

Unspecified application

Species

Unspecified reactive species

Huifeng Sun,Ai Wang,Nan Shi

Molecular medicine reports 32: PubMed40539450

2025

Protective effects of lipid mediators, obtained from docosahexaenoic acid via soybean lipoxygenase, on lipopolysaccharide‑induced acute lung injury through the NF‑κB and Nrf2/HO‑1 signaling pathways.

Applications

Unspecified application

Species

Unspecified reactive species

Yan Su,Hack Sun Choi,Soon Kyu Kwon,Yunjon Han,Soon-Chang Cho,Jin Hyuk Shin,Yong-Suk Jang,Jong Hyun Choi,Jeong-Woo Seo

The Korean journal of physiology & pharmacology : official journal of the Korean Physiological Society and the Korean Society of Pharmacology 29:283-291 PubMed40254555

2025

Shikonin attenuates blood-brain barrier injury and oxidative stress in rats with subarachnoid hemorrhage by activating Sirt1/Nrf2/HO-1 signaling.

Applications

Unspecified application

Species

Unspecified reactive species

Guanghu Li,Yang'e Yi,Sheng Qian,Xianping Xu,Hao Min,Jianpeng Wang,Pan Guo,Tingting Yu,Zhiqiang Zhang

Clinical and translational radiation oncology 53:100951 PubMed40225789

2025

Regular aerobic exercise ameliorates radiation-induced pulmonary fibrosis: An animal study.

Applications

Unspecified application

Species

Unspecified reactive species

Da Bin Ko,Seungwoo Cha,Jae Yong Jeon,Su SSan Kim,Won Kim,Sei Won Lee,Joongkee Min,Si Yeol Song,Seung Hak Lee

Journal of molecular neuroscience : MN 75:46 PubMed40199799

2025

Fucoxanthinol Mitigates the Cytotoxic Effect of Chlorpyrifos and MPTP on the Dopaminergic Differentiation of SH-SY5Y Human Neuroblastoma Cells.

Applications

Unspecified application

Species

Unspecified reactive species

Ekramy M Elmorsy,Ayat B Al-Ghafari,Huda A Al Doghaither,Mona M Elghareeb,Mouhamed Alsaqati

Parasites & vectors 18:129 PubMed40181380

2025

Upregulation of Nrf2 attenuates Angiostrongylus cantonensis-induced parasitic meningitis in mice.

Applications

Unspecified application

Species

Unspecified reactive species

Chii-Wen Chou,Chia-Chun Huang,Ke-Min Chen,Chun-I Wang,Wan-Jing Chen,Chiung-Hung Hsu,Shih-Chan Lai,Shyun Chou,Yu-Kang Chang,Kuan-Yu Lin,Chih-Hao Chiu,Cheng-You Lu

Annals of translational medicine 13:1 PubMed40115065

2025

Amniotic fluid stem cell conditioned medium's role in Schwann cell proliferation, survival, and cellular antioxidant activity under normative and oxidative stress conditions.

Applications

Unspecified application

Species

Unspecified reactive species

Chukwuweike Gwam,Nequesha Mohamed,Ayobami S Ogunsola,Marcel G Brown,Kaitlin A Henry,Xue Ma

Journal of cellular and molecular medicine 29:e70446 PubMed40045169

2025

Ecdysterone Alleviates Atherosclerosis by Inhibiting NCF2 and Inhibiting Ferroptosis Mediated by the PI3K/Akt/Nrf2 Pathway.

Applications

Unspecified application

Species

Unspecified reactive species

Zhenyu Wang,Fengchao Wu,Ju Yan,Lei Liang,Fengjun Chang,Mengya Dong,Jiayu Diao,Haoyu Wu

Cell biology and toxicology 41:44 PubMed39937362

2025

Enhancing cardiac repair post-myocardial infarction: a study on GATM/Gel hydrogel therapeutics.

Applications

Unspecified application

Species

Unspecified reactive species

Te Li,Lijuan Ding,Qiang Wang,Jianing Ma,Shudong Wang

ACS omega 10:3535-3550 PubMed39926549

2025

Macrophage Responses to Multicore Encapsulated Iron Oxide Nanoparticles for Cancer Therapy.

Applications

Unspecified application

Species

Unspecified reactive species

Sarah Kraus,Shir Arbib,Pazit Rukenstein,Irit Shoval,Raz Khandadash,Ofer Shalev
View all publications
websiteProtocolBooklet
en

Product promise

We are committed to supporting your work with high-quality reagents, and we're here for you every step of the way. In the unlikely event that one of our products does not perform as expected, you're protected by our Product Promise.
For full details, please see our Terms & Conditions

Please note: All products are 'FOR RESEARCH USE ONLY. NOT FOR USE IN DIAGNOSTIC OR THERAPEUTIC PROCEDURES'.

For licensing inquiries, please contact partnerships@abcam.com