JavaScript is disabled in your browser. Please enable JavaScript to view this website.
AB275319

DiD

Be the first to review this product! Submit a review

|

(1 Publication)

MW 959.9 Da. Red fluorescent membrane probe for long term staining of live cells, including neuronal tracing -due to the long chain (C-18) groups that embed into the plasma membrane of live cells. Also used in fiber optic sensors for detecting K+ using fluorescence energy transfer.
1 Images
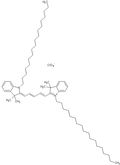
Chemical Structure - DiD (AB275319)
  • Chemical Structure

Lab

Chemical Structure - DiD (AB275319)

Chemical structure of DiD, 127274-91-3

Key facts

CAS number

127274-91-3

Form

Solid

form

Molecular weight

959.9 Da

Molecular formula

C<sub>6</sub><sub>1</sub>H<sub>9</sub><sub>9</sub>ClN<sub>2</sub>O<sub>4</sub>

PubChem

16212738

Nature

Synthetic

Solubility

Soluble in DMSO

Biochemical name

DiD perchlorate

Biological description

Red fluorescent membrane probe for long term staining of live cells, including neuronal tracing -due to the long chain (C-18) groups that embed into the plasma membrane of live cells. Also used in fiber optic sensors for detecting K+ using fluorescence energy transfer.

Canonical smiles

CCCCCCCCCCCCCCCCCCN1C2=CC=CC=C2C(C1=CC=CC=CC3=[N+](C4=CC=CC=C4C3(C)C)CCCCCCCCCCCCCCCCCC)(C)C.[O-]Cl(=O)(=O)=O

Isomeric smiles

CCCCCCCCCCCCCCCCCCN\1C2=CC=CC=C2C(/C1=C\C=C\C=C\C3=[N+](C4=CC=CC=C4C3(C)C)CCCCCCCCCCCCCCCCCC)(C)C.[O-]Cl(=O)(=O)=O

InChi

InChI=1S/C61H99N2.ClHO4/c1-7-9-11-13-15-17-19-21-23-25-27-29-31-33-35-44-52-62-56-48-42-40-46-54(56)60(3,4)58(62)50-38-37-39-51-59-61(5,6)55-47-41-43-49-57(55)63(59)53-45-36-34-32-30-28-26-24-22-20-18-16-14-12-10-8-2;2-1(3,4)5/h37-43,46-51H,7-36,44-45,52-53H2,1-6H3;(H,2,3,4,5)/q+1;/p-1

InChiKey

ZQSBJPAQPRVNHU-UHFFFAOYSA-M

IUPAC Name

(2E)-2-[(2E,4E)-5-(3,3-dimethyl-1-octadecylindol-1-ium-2-yl)penta-2,4-dienylidene]-3,3-dimethyl-1-octadecylindole;perchlorate

Excitation/Emission

Ex: 596nm, Em: 670nm

Properties and storage information

Shipped at conditions
Blue Ice
Appropriate short-term storage conditions
-20°C
Appropriate long-term storage conditions
-20°C
Storage information
Store in the dark|Store under desiccating conditions

Product protocols

Publications (1)

Recent publications for all applications. Explore the full list and refine your search

Frontiers in immunology 14:1201455 PubMed37559722

2023

-derived novel-miR1 targets TLR2 to inhibit the immune response in rabbits.

Applications

Unspecified application

Species

Unspecified reactive species

Guoliang Chen,Guiting Pu,Liqun Wang,Yanping Li,Tingli Liu,Hong Li,Shaohua Zhang,Xuelin Wang,Xiaolei Liu,Xuenong Luo
View all publications

Product promise

We are committed to supporting your work with high-quality reagents, and we're here for you every step of the way. In the unlikely event that one of our products does not perform as expected, you're protected by our Product Promise.
For full details, please see our Terms & Conditions

Please note: All products are 'FOR RESEARCH USE ONLY. NOT FOR USE IN DIAGNOSTIC OR THERAPEUTIC PROCEDURES'.

For licensing inquiries, please contact partnerships@abcam.com