JavaScript is disabled in your browser. Please enable JavaScript to view this website.
AB145616

DTSSP crosslinker, Lysine selective crosslinker

Be the first to review this product! Submit a review

|

(0 Publication)

MW 608.51 g/mol, Purity >80%. Membrane-impermeable lysine selective crosslinker. Induces cell-surface crosslinking without interfering with intercellular proteins. Facilitates the structural characterization of proteins with mass spectrometry. Thiol cleavable.
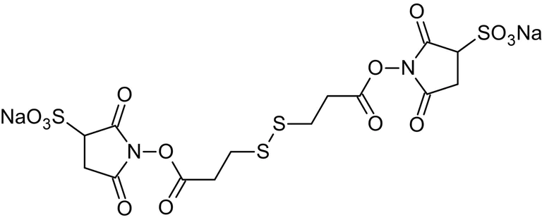
1 Images
Chemical Structure - DTSSP crosslinker, Lysine selective crosslinker (AB145616)
  • Chemical Structure

Lab

Chemical Structure - DTSSP crosslinker, Lysine selective crosslinker (AB145616)

2D chemical structure image of ab145616, DTSSP crosslinker, Lysine selective crosslinker

Key facts

CAS number

142702-31-6

Purity

>80%

Form

Solid

form

Molecular weight

608.51 g/mol

Molecular formula

C<sub>1</sub><sub>4</sub>H<sub>1</sub><sub>4</sub>O<sub>1</sub><sub>4</sub>N<sub>2</sub>S<sub>4</sub>Na<sub>2</sub>

Nature

Synthetic

Solubility

Soluble in water to 10 mM

Biological description

Membrane-impermeable lysine selective crosslinker. Induces cell-surface crosslinking without interfering with intercellular proteins. Facilitates the structural characterization of proteins with mass spectrometry. Thiol cleavable.

Canonical smiles

CN(OC(CCSSCCC(ON1C(C(S(=O)(O[NA])=O)CC1=O)=O)=O)=O)C(CS(=O)(O[NA])=O)=O

InChi

InChI=1S/C13H18N2O13S4.2Na/c1-14(10(17)7-31(21,22)23)27-11(18)2-4-29-30-5-3-12(19)28-15-9(16)6-8(13(15)20)32(24,25)26;;/h8H,2-7H2,1H3,(H,21,22,23)(H,24,25,26);;/q;2*+1/p-2

InChiKey

LFRKLPYHXPWFCL-UHFFFAOYSA-L

IUPAC Name

1-[3-[[3-(2,5-dioxo-3-sulfopyrrolidin-1-yl)oxy-3-oxopropyl]disulfanyl]propanoyloxy]-2,5-dioxopyrrolidine-3-sulfonic acid disodium salt

Product details

This product is manufactured by BioVision, an Abcam company and was previously called 2337 DTSSP Crosslinker. 2337-250 is the same size as the 250 mg size of ab145616.

CAS number 142702-31-6 cooresponds to disodium salt of DTSSP.

Properties and storage information

Shipped at conditions
Ambient - Can Ship with Ice
Appropriate short-term storage conditions
+4°C
Appropriate long-term storage conditions
+4°C
Storage information
The product can be stored for up to 12 months

Product protocols

Product promise

We are committed to supporting your work with high-quality reagents, and we're here for you every step of the way. In the unlikely event that one of our products does not perform as expected, you're protected by our Product Promise.
For full details, please see our Terms & Conditions

Please note: All products are 'FOR RESEARCH USE ONLY. NOT FOR USE IN DIAGNOSTIC OR THERAPEUTIC PROCEDURES'.

For licensing inquiries, please contact partnerships@abcam.com