JavaScript is disabled in your browser. Please enable JavaScript to view this website.
AB142778

Indo-1 AM, fluorescent Ca2+ indicator

Be the first to review this product! Submit a review

|

(1 Publication)

MW 1009.9 Da, Purity >95%. Cell-permeable, ratiometric, fluorescent Ca2+ indicator. Binds to Ca2+ with high affinity (Kd = 230 nM). Fluoresces blue/violet and fluorescence increases upon Ca2+ binding. Cell-impermeable form, Indo 1 K+ salt (ab142779) also available. Emission and excitation shifts from 475 to 401 nm and 346 to 330 nm respectively depending on Ca2+ binding.
1 Images
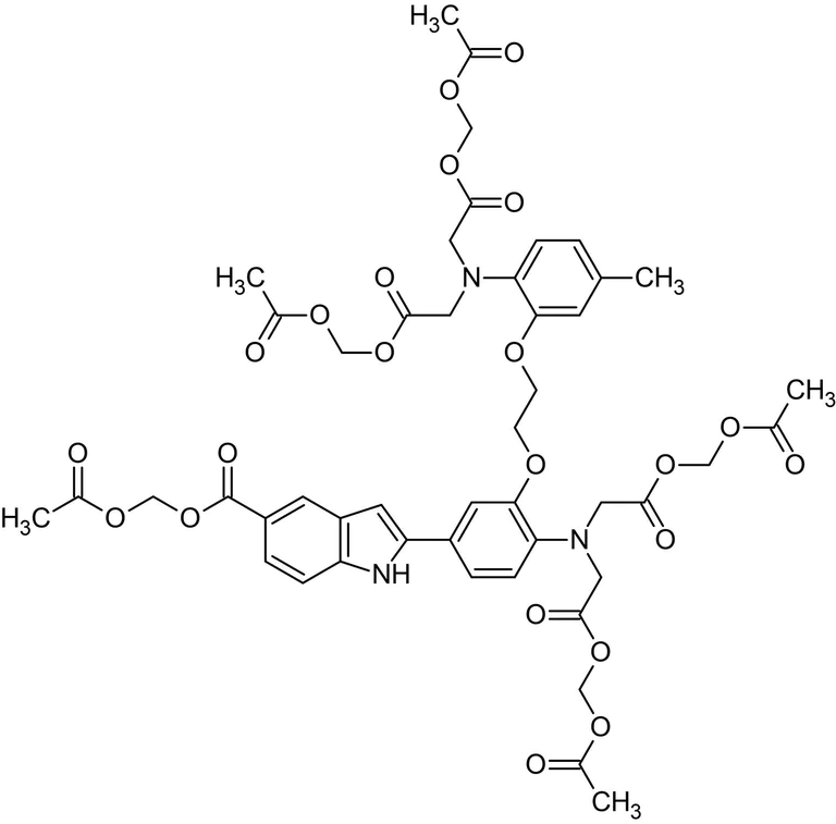
Chemical Structure - Indo-1 AM, fluorescent Ca2+ indicator (AB142778)
  • Chemical Structure

Lab

Chemical Structure - Indo-1 AM, fluorescent Ca2+ indicator (AB142778)

2D chemical structure image of ab142778, Indo-1 AM, fluorescent Ca2+ indicator

Key facts

CAS number

112926-02-0

Purity

>95%

Form

Solid

form

Molecular weight

1009.9 Da

Molecular formula

C<sub>4</sub><sub>7</sub>H<sub>5</sub><sub>1</sub>N<sub>3</sub>O<sub>2</sub><sub>2</sub>

PubChem

123918

Nature

Synthetic

Solubility

Soluble in DMSO

Biochemical name

Indo-1 pentaacetoxymethyl ester

Biological description

Cell-permeable, ratiometric, fluorescent Ca2+ indicator. Binds to Ca2+ with high affinity (Kd = 230 nM). Fluoresces blue/violet and fluorescence increases upon Ca2+ binding. Cell-impermeable form, Indo 1 K+ salt (ab142779) also available. Emission and excitation shifts from 475 to 401 nm and 346 to 330 nm respectively depending on Ca2+ binding.

Canonical smiles

CC1=CC(=C(C=C1)N(CC(=O)OCOC(=O)C)CC(=O)OCOC(=O)C)OCCOC2=C(C=CC(=C2)C3=CC4=C(N3)C=C(C=C4)C(=O)OCOC(=O)C)N(CC(=O)OCOC(=O)C)CC(=O)OCOC(=O)C

InChi

InChI=1S/C47H51N3O22/c1-28-7-11-39(49(19-43(56)68-23-63-29(2)51)20-44(57)69-24-64-30(3)52)41(15-28)61-13-14-62-42-18-35(37-16-34-8-9-36(17-38(34)48-37)47(60)72-27-67-33(6)55)10-12-40(42)50(21-45(58)70-25-65-31(4)53)22-46(59)71-26-66-32(5)54/h7-12,15-18,48H,13-14,19-27H2,1-6H3

InChiKey

CAWBRCOBJNWRLK-UHFFFAOYSA-N

IUPAC Name

acetyloxymethyl 2-[4-[bis[2-(acetyloxymethoxy)-2-oxoethyl]amino]-3-[2-[2-[bis[2-(acetyloxymethoxy)-2-oxoethyl]amino]-5-methylphenoxy]ethoxy]phenyl]-1H-indole-6-carboxylate

Properties and storage information

Shipped at conditions
Ambient - Can Ship with Ice
Appropriate short-term storage conditions
-20°C
Appropriate long-term storage conditions
-20°C
Storage information
Store under desiccating conditions|The product can be stored for up to 12 months

Product protocols

Publications (1)

Recent publications for all applications. Explore the full list and refine your search

International journal of biological sciences 17:2367-2379 PubMed34239363

2021

Recombinant human bone morphogenetic protein 2 and 7 inhibit the degeneration of intervertebral discs by blocking the Puma-dependent apoptotic signaling.

Applications

Unspecified application

Species

Unspecified reactive species

Shiwei Xie,Chenyang Zhao,Wei Chen,Gengwu Li,Zhiwei Xiong,Xiangjun Tang,Fan Zhang,Heng Xiao
View all publications

Product promise

We are committed to supporting your work with high-quality reagents, and we're here for you every step of the way. In the unlikely event that one of our products does not perform as expected, you're protected by our Product Promise.
For full details, please see our Terms & Conditions

Please note: All products are 'FOR RESEARCH USE ONLY. NOT FOR USE IN DIAGNOSTIC OR THERAPEUTIC PROCEDURES'.

For licensing inquiries, please contact partnerships@abcam.com