JavaScript is disabled in your browser. Please enable JavaScript to view this website.
AB120501

Leptomycin B (ethanol solution), Antibiotic, antifungal. Inhibitor of CRM-1 mediated nuclear export.

Be the first to review this product! Submit a review

|

(2 Publications)

MW 540.7 Da, Purity >95%. Potent inhibitor of CRM-1-mediated (exportin-1) nuclear export. Displays antibiotic, antifungal, and antitumor properties and blocks the cell cycle at G1 and G2 phases. Potent inhibitor of nucleo-cytoplasmic translocation of Rev. Also shown to suppress HIV-1 replication in human monocytes (IC50 = 600 pM).

View Alternative Names

CRM1 homolog, Chromosome region maintenance 1 protein homolog, DKFZp686B1823, Exp 1, Exportin-1, XPO1_HUMAN

2 Images
Functional Studies - Leptomycin B (ethanol solution), Antibiotic, antifungal. Inhibitor of CRM-1 mediated nuclear export. (AB120501)
  • FuncS

Unknown

Functional Studies - Leptomycin B (ethanol solution), Antibiotic, antifungal. Inhibitor of CRM-1 mediated nuclear export. (AB120501)

ab38335 staining p75 in HeLa cells treated with Leptomycin B (ethanol solution) (ab120501), by ICC/IF. Increase in p75 expression in the nucleous and cytoplasm correlates with increased concentration of Leptomycin B (ethanol solution), as described in literature.
The cells were incubated at 37°C for 2h in media containing different concentrations of ab120501 (Leptomycin B (ethanol solution)) in DMSO, fixed with 100% methanol for 5 minutes at -20°C and blocked with PBS containing 10% goat serum, 0.3 M glycine, 1% BSA and 0.1% tween for 2h at room temperature. Staining of the treated cells with ab38335 (1 µg/ml) was performed overnight at 4°C in PBS containing 1% BSA and 0.1% tween. A DyLight® 488 goat anti-rabbit polyclonal antibody (ab96899) at 1/250 dilution was used as the secondary antibody. Nuclei were counterstained with DAPI and are shown in blue.

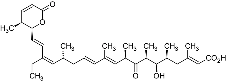
Chemical Structure - Leptomycin B (ethanol solution), Antibiotic, antifungal. Inhibitor of CRM-1 mediated nuclear export. (AB120501)
  • Chemical Structure

Lab

Chemical Structure - Leptomycin B (ethanol solution), Antibiotic, antifungal. Inhibitor of CRM-1 mediated nuclear export. (AB120501)

2D chemical structure image of ab120501, Leptomycin B (ethanol solution), Antibiotic, antifungal. Inhibitor of CRM-1 mediated nuclear export.

Key facts

CAS number

87081-35-4

Purity

>95%

Form

Liquid

form

Source

Steptomyces sp.

Molecular weight

540.7 Da

Molecular formula

C<sub>3</sub><sub>3</sub>H<sub>4</sub><sub>8</sub>O<sub>6</sub>

PubChem

6917907

Nature

Native

Biochemical name

Leptomycin B

Biological description

Potent inhibitor of CRM-1-mediated (exportin-1) nuclear export. Displays antibiotic, antifungal, and antitumor properties and blocks the cell cycle at G1 and G2 phases. Potent inhibitor of nucleo-cytoplasmic translocation of Rev. Also shown to suppress HIV-1 replication in human monocytes (IC50 = 600 pM).

Canonical smiles

CCC(=CC(C)CC=CC(=CC(C)C(=O)C(C)C(C(C)CC(=CC(=O)O)C)O)C)C=CC1C(C=CC(=O)O1)C

Isomeric smiles

CC/C(=C/[C@H](C)C/C=C/C(=C/[C@@H](C)C(=O)[C@@H](C)[C@@H]([C@@H](C)C/C(=C/C(=O)O)/C)O)/C)/C=C/[C@H]1[C@H](C=CC(=O)O1)C

InChi

InChI=1S/C33H48O6/c1-9-28(14-15-29-24(5)13-16-31(36)39-29)19-22(3)12-10-11-21(2)17-25(6)32(37)27(8)33(38)26(7)18-23(4)20-30(34)35/h10-11,13-17,19-20,22,24-27,29,33,38H,9,12,18H2,1-8H3,(H,34,35)/b11-10+,15-14+,21-17+,23-20+,28-19-/t22-,24+,25-,26+,27-,29+,33-/m1/s1

InChiKey

YACHGFWEQXFSBS-XYERBDPFSA-N

IUPAC Name

(2E,5S,6R,7S,9R,10E,12E,15R,16Z,18E)-17-ethyl-6-hydroxy-3,5,7,9,11,15-hexamethyl-19-[(2S,3S)-3-methyl-6-oxo-2,3-dihydropyran-2-yl]-8-oxononadeca-2,10,12,16,18-pentaenoic acid

Product details

Supplied in ethanol (25 μg/ml).

Properties and storage information

Shipped at conditions
Ambient - Can Ship with Ice
Appropriate short-term storage conditions
-20°C
Appropriate long-term storage conditions
-20°C
Storage information
Store under desiccating conditions

Supplementary information

This supplementary information is collated from multiple sources and compiled automatically.

CRM1 also known as exportin 1 is a significant nuclear export protein with a molecular mass of approximately 123 kDa. It is expressed in a wide range of eukaryotic cells being an important component in transporting molecules from the nucleus to the cytoplasm. The CRM1 protein binds cargo proteins bearing a leucine-rich nuclear export signal (NES) and facilitates their passage through the nuclear pore complex. Due to its essential role in nuclear-cytoplasmic transport CRM1 serves as a targeted protein in various research and therapeutic contexts.
Biological function summary

CRM1 participates in the regulation of gene expression by controlling the export of mRNA and ribosomal subunits. It does not act alone but associates with other proteins such as Ran GTPase to form a functioning export complex. This CRM1 complex plays a pivotal role in maintaining cellular homeostasis and responding to cellular stress by regulating the localization of key signaling molecules and transcription factors.

Pathways

CRM1 integrates into critical pathways such as the Wnt signaling pathway and DNA damage response. In the Wnt signaling pathway CRM1 influences the localization and activity of beta-catenin a central protein in the pathway. In the DNA damage response CRM1 interacts with p53 a notable tumor suppressor protein. Through these pathways CRM1 ensures proper control of cell proliferation apoptosis and differentiation.

CRM1 is implicated in cancer and viral infections. Dysregulation of CRM1-mediated nuclear export can lead to abnormal accumulation of oncogenic proteins in the cytoplasm which contributes to cancer pathogenesis. CRM1 overexpression is often observed in several cancers including leukemia and pancreatic cancer linking it to essential regulatory proteins like p53 and NF-kB. Additionally certain viruses exploit CRM1’s export mechanism to enhance their replication making it a target for antiviral research.

Product protocols

Publications (2)

Recent publications for all applications. Explore the full list and refine your search

Cell reports 25:95-106.e6 PubMed30282041

2018

IFIT1 Exerts Opposing Regulatory Effects on the Inflammatory and Interferon Gene Programs in LPS-Activated Human Macrophages.

Applications

Unspecified application

Species

Unspecified reactive species

Sinu P John,Jing Sun,Rebecca J Carlson,Binh Cao,Clinton J Bradfield,Jian Song,Margery Smelkinson,Iain D C Fraser

Turkish journal of biology = Turk biyoloji dergisi 42:132-143 PubMed30814875

2018

Crm1 knockdown by specific small interfering RNA reduces cell proliferation and induces apoptosis in head and neck cancer cell lines.

Applications

Unspecified application

Species

Unspecified reactive species

Sibel Özdaş,Talih Özdaş
View all publications

Product promise

We are committed to supporting your work with high-quality reagents, and we're here for you every step of the way. In the unlikely event that one of our products does not perform as expected, you're protected by our Product Promise.
For full details, please see our Terms & Conditions

Please note: All products are 'FOR RESEARCH USE ONLY. NOT FOR USE IN DIAGNOSTIC OR THERAPEUTIC PROCEDURES'.

For licensing inquiries, please contact partnerships@abcam.com