JavaScript is disabled in your browser. Please enable JavaScript to view this website.
AB146271

Methyl blue sodium salt, Histology stain for collagen

Be the first to review this product! Submit a review

|

(0 Publication)

MW 799.8 g/mol. Histology stain for collagen in tissue sections. Used in some differential staining techniques such as Mallory′s connective tissue stain and Gomori′s one-step trichrome procedure, and has been incorporated in Sabouraud agar for the identification of Candida albicans strains.
1 Images
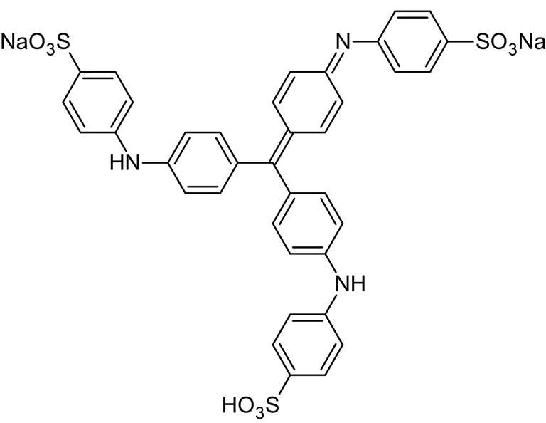
Chemical Structure - Methyl blue sodium salt, Histology stain for collagen (AB146271)
  • Chemical Structure

Lab

Chemical Structure - Methyl blue sodium salt, Histology stain for collagen (AB146271)

2D chemical structure image of ab146271, Methyl blue sodium salt, Histology stain for collagen

Key facts

CAS number

28983-56-4

Molecular weight

799.8 g/mol

Molecular formula

C<sub>3</sub><sub>7</sub>H<sub>2</sub><sub>7</sub>N<sub>3</sub>Na<sub>2</sub>O<sub>9</sub>S<sub>3</sub>

Nature

Synthetic

Biological description

Histology stain for collagen in tissue sections. Used in some differential staining techniques such as Mallory′s connective tissue stain and Gomori′s one-step trichrome procedure, and has been incorporated in Sabouraud agar for the identification of Candida albicans strains.

IUPAC Name

[[4-[Bis[4-[(sulfophenyl)amino]phenyl]methylene]-2,5-cyclohexadien-1-ylidene]amino]-benzenesulfonic acid disodium salt

Properties and storage information

Shipped at conditions
Ambient - Can Ship with Ice
Appropriate short-term storage conditions
Ambient
Appropriate long-term storage conditions
Ambient
Storage information
Store under desiccating conditions|The product can be stored for up to 12 months

Product protocols

Product promise

We are committed to supporting your work with high-quality reagents, and we're here for you every step of the way. In the unlikely event that one of our products does not perform as expected, you're protected by our Product Promise.
For full details, please see our Terms & Conditions

Please note: All products are 'FOR RESEARCH USE ONLY. NOT FOR USE IN DIAGNOSTIC OR THERAPEUTIC PROCEDURES'.

For licensing inquiries, please contact partnerships@abcam.com