JavaScript is disabled in your browser. Please enable JavaScript to view this website.
AB141681

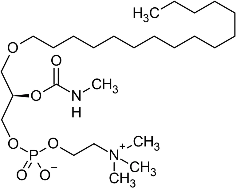
Methylcarbamyl-PAF, non-hydrolyzable platelet-activating factor (PAF) analog

Be the first to review this product! Submit a review

|

(0 Publication)

MW 538.7 Da, Purity >98%. Non-hydrolyzable platelet-activating factor (PAF) analog. Causes fetal and placental growth restriction. Alters mitochondrial membrane. Induced vascular VEGF expression in cord endothelial cells. Active in vivo and in vitro.
1 Images
Chemical Structure - Methylcarbamyl-PAF, non-hydrolyzable platelet-activating factor (PAF) analog (AB141681)
  • Chemical Structure

Lab

Chemical Structure - Methylcarbamyl-PAF, non-hydrolyzable platelet-activating factor (PAF) analog (AB141681)

2D chemical structure image of ab141681, Methylcarbamyl-PAF, non-hydrolyzable platelet-activating factor (PAF) analog

Key facts

CAS number

91575-58-5

Purity

>98%

Form

Liquid

form

Molecular weight

538.7 Da

Molecular formula

C<sub>2</sub><sub>6</sub>H<sub>5</sub><sub>5</sub>N<sub>2</sub>O<sub>7</sub>P

PubChem

124663

Nature

Synthetic

Biochemical name

methylcarbamyl PAF

Biological description

Non-hydrolyzable platelet-activating factor (PAF) analog. Causes fetal and placental growth restriction. Alters mitochondrial membrane. Induced vascular VEGF expression in cord endothelial cells. Active in vivo and in vitro.

Canonical smiles

CCCCCCCCCCCCCCCCOCC(COP(=O)([O-])OCC[N+](C)(C)C)OC(=O)NC

Isomeric smiles

CCCCCCCCCCCCCCCCOC[C@H](COP(=O)([O-])OCC[N+](C)(C)C)OC(=O)NC

InChi

InChI=1S/C26H55N2O7P/c1-6-7-8-9-10-11-12-13-14-15-16-17-18-19-21-32-23-25(35-26(29)27-2)24-34-36(30,31)33-22-20-28(3,4)5/h25H,6-24H2,1-5H3,(H-,27,29,30,31)/t25-/m1/s1

InChiKey

FNFHZBKBDFRYHS-RUZDIDTESA-N

IUPAC Name

[(2R)-3-hexadecoxy-2-(methylcarbamoyloxy)propyl] 2-(trimethylazaniumyl)ethyl phosphate

Properties and storage information

Shipped at conditions
Ambient - Can Ship with Ice
Appropriate short-term storage conditions
-20°C
Appropriate long-term storage conditions
-20°C
Storage information
The product can be stored for up to 12 months

Product protocols

Product promise

We are committed to supporting your work with high-quality reagents, and we're here for you every step of the way. In the unlikely event that one of our products does not perform as expected, you're protected by our Product Promise.
For full details, please see our Terms & Conditions

Please note: All products are 'FOR RESEARCH USE ONLY. NOT FOR USE IN DIAGNOSTIC OR THERAPEUTIC PROCEDURES'.

For licensing inquiries, please contact partnerships@abcam.com