JavaScript is disabled in your browser. Please enable JavaScript to view this website.
AB120902

Misoprostol, Cytoprotective PGE2 analog

Be the first to review this product! Submit a review

|

(0 Publication)

MW 382.54 g/mol, Purity >98%. Cytoprotective PGE2 analog with activity mediated by EP2, EP3, and EP4 receptors (Ki values are 250, 67 and 67 nM, respectively).
1 Images
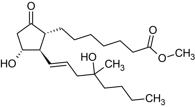
Chemical Structure - Misoprostol, Cytoprotective PGE2 analog (AB120902)
  • Chemical Structure

Lab

Chemical Structure - Misoprostol, Cytoprotective PGE2 analog (AB120902)

2D chemical structure image of ab120902, Misoprostol, Cytoprotective PGE2 analog

Key facts

CAS number

59122-46-2

Purity

>98%

Form

Liquid

form

Molecular weight

382.54 g/mol

Nature

Synthetic

Biological description

Cytoprotective PGE2 analog with activity mediated by EP2, EP3, and EP4 receptors (Ki values are 250, 67 and 67 nM, respectively).

Isomeric smiles

CCCCC(C)(O)C/C=C/[C@H]1C(O)CC(=O)C1CCCCCCC(=O)OC

IUPAC Name

(11α,13E)-(±)-11,16-Dihydroxy-16-methyl-9-oxoprost-13-en-1-oic acid methyl ester

Properties and storage information

Shipped at conditions
Blue Ice
Appropriate short-term storage conditions
-20°C
Appropriate long-term storage conditions
-20°C
Storage information
Store under desiccating conditions

Product protocols

Product promise

We are committed to supporting your work with high-quality reagents, and we're here for you every step of the way. In the unlikely event that one of our products does not perform as expected, you're protected by our Product Promise.
For full details, please see our Terms & Conditions

Please note: All products are 'FOR RESEARCH USE ONLY. NOT FOR USE IN DIAGNOSTIC OR THERAPEUTIC PROCEDURES'.

For licensing inquiries, please contact partnerships@abcam.com