JavaScript is disabled in your browser. Please enable JavaScript to view this website.
AB144814

MM1-43, membrane selective dye

Be the first to review this product! Submit a review

|

(0 Publication)

MW 611.5 Da, Purity >99%. Membrane selective dye. Reversibly binds to the outer leaflet of surface membranes without permeating. Internalizes into vesicles during endocytosis. Dissociates from the membrane during exocytosis.

Also available in simple stock solutions (ab146741) - add 1 ml of water to get an exact, ready-to-use concentration.

View Alternative Names

7TM receptor, ACM2_HUMAN, ACM3_HUMAN, ACM4_HUMAN, ACM5_HUMAN, AChR, AChR M5, Acetylcholine receptor muscarinic 5, Acetylcholine receptor, muscarinic, 2, CHKM5MR, CHRM 2, CHRM 3, CHRM1, CM2, Cholinergic receptor muscarinic 1, Cholinergic receptor muscarinic 2, Cholinergic receptor muscarinic 4, Cholinergic receptor muscarinic 5, Cholinergic receptor, muscarinic 2, cardiac, Cholinergic receptor, muscarinic 2, isoform a, Cholinergic receptor, muscarinic 2a, Chrm 4, Chrm 5, EGBRS, FLJ43243, HM 2, HM 3, HM 4, HM 5, HM1, M2 muscarinic receptor, M2-mAChR, M3 muscarinic receptor, M4, M5R, MGC120006, MGC120007, MGC41838, Muscarinic M2 receptor, Muscarinic acetylcholine receptor M1, Muscarinic acetylcholine receptor M2, Muscarinic acetylcholine receptor M3, Muscarinic acetylcholine receptor M4, Muscarinic acetylcholine receptor M5, cholinergic receptor muscarinic 3, chrm2a, m3 muscarinic acetylcholine receptor, m5, muscarinic 3, muscarinic cholinergic m3 receptor, muscarinic m3 receptor

1 Images
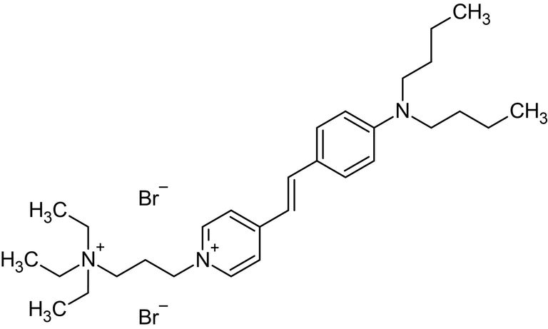
Chemical Structure - MM1-43, membrane selective dye (AB144814)
  • Chemical Structure

Lab

Chemical Structure - MM1-43, membrane selective dye (AB144814)

2D chemical structure image of ab144814, MM1-43, membrane selective dye

Key facts

CAS number

149838-22-2

Purity

>99%

Form

Solid

form

Molecular weight

611.5 Da

Molecular formula

C<sub>3</sub><sub>0</sub>H<sub>4</sub><sub>9</sub>Br<sub>2</sub>N<sub>3</sub>

PubChem

6508724

Nature

Synthetic

Solubility

Soluble in water to 100 mM

Biochemical name

N-(3-(triethylammonium)propyl)-4-(4-(dibutylamino)styryl)pyridinium

Biological description

Membrane selective dye. Reversibly binds to the outer leaflet of surface membranes without permeating. Internalizes into vesicles during endocytosis. Dissociates from the membrane during exocytosis.

Also available in simple stock solutions (ab146741) - add 1 ml of water to get an exact, ready-to-use concentration.

Canonical smiles

CCCCN(CCCC)C1=CC=C(C=C1)C=CC2=CC=[N+](C=C2)CCC[N+](CC)(CC)CC.[Br-].[Br-]

Isomeric smiles

CCCCN(CCCC)C1=CC=C(C=C1)/C=C/C2=CC=[N+](C=C2)CCC[N+](CC)(CC)CC.[Br-].[Br-]

InChi

InChI=1S/C30H49N3.2BrH/c1-6-11-23-32(24-12-7-2)30-18-16-28(17-19-30)14-15-29-20-25-31(26-21-29)22-13-27-33(8-3,9-4)10-5;;/h14-21,25-26H,6-13,22-24,27H2,1-5H3;2*1H/q+2;;/p-2

InChiKey

VZUVCAGXYLMFEC-UHFFFAOYSA-L

IUPAC Name

3-[4-[(E)-2-[4-(dibutylamino)phenyl]ethenyl]pyridin-1-ium-1-yl]propyl-triethylazanium;dibromide

Excitation/Emission

Ex: 626nm, Em: 510nm

Product details

The excitation spectrum is 470-480 nm and emission at 575-600 nm when bound to membrane lipids.

Properties and storage information

Shipped at conditions
Ambient - Can Ship with Ice
Appropriate short-term storage conditions
-20°C
Appropriate long-term storage conditions
-20°C
Storage information
Store under desiccating conditions|The product can be stored for up to 12 months

Supplementary information

This supplementary information is collated from multiple sources and compiled automatically.

Muscarinic acetylcholine receptors also known as mAChRs are a group of G protein-coupled receptors that bind acetylcholine. They include five distinct subtypes: CHRM1 CHRM2 CHRM3 CHRM4 and CHRM5. These receptors have variable molecular masses ranging from approximately 50 to 60 kDa. Expression of muscarinic receptors is widespread present in both central and peripheral nervous systems and in non-neuronal tissues such as heart and smooth muscle. Each subtype has a unique pattern of distribution affecting how the body reacts to stimuli.
Biological function summary

Muscarinic receptors mediate parasympathetic nervous system responses. They do not function in isolation and may form complexes with other membrane proteins. mAChRs play roles in reducing heart rate constricting bronchi increasing secretions and modulating neurochemical activities in the central nervous system. Arecaidine can act as a muscarinic agonist whereas aclidinium serves as a muscarinic antagonist both influencing receptor activity through different pathways.

Pathways

Muscarinic receptors participate in the PI3K/AKT and MAPK signaling pathways. These pathways are key for cellular responses to environmental changes. For example muscarinic receptors in the cardiac tissue influence heart rate through these pathways interacting with proteins like Gi/o proteins. mAChRs also activate pathways involving other G protein receptors like adrenergic receptors to regulate vascular resistance and secretory processes.

Muscarinic receptors are linked to Alzheimer’s disease and chronic obstructive pulmonary disease (COPD). In Alzheimer’s imbalances in muscarinic receptor signaling can disrupt cognitive function. The CHRM1 subtype is particularly implicated in neurotransmission abnormalities associated with this disease. In COPD the CHRM3 subtype’s regulation of bronchoconstriction becomes clinically relevant. Therapeutic targeting of these receptors using antagonists like aclidinium helps manage symptoms and improve patient outcome.

Product protocols

Product promise

We are committed to supporting your work with high-quality reagents, and we're here for you every step of the way. In the unlikely event that one of our products does not perform as expected, you're protected by our Product Promise.
For full details, please see our Terms & Conditions

Please note: All products are 'FOR RESEARCH USE ONLY. NOT FOR USE IN DIAGNOSTIC OR THERAPEUTIC PROCEDURES'.

For licensing inquiries, please contact partnerships@abcam.com