JavaScript is disabled in your browser. Please enable JavaScript to view this website.
AB144842

Nocardamine (Deferrioxamine E), Antibiotic agent

Be the first to review this product! Submit a review

|

(0 Publication)

MW 600.7 Da, Purity >95%. Antibiotic agent. Siderophore iron chelator. Induces morphological changes in insect cells. Shows weak antimicrobial against Gram-positive bacteria.
1 Images
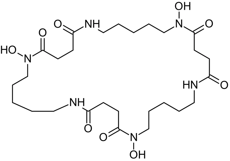
Chemical Structure - Nocardamine (Deferrioxamine E), Antibiotic agent (AB144842)
  • Chemical Structure

Lab

Chemical Structure - Nocardamine (Deferrioxamine E), Antibiotic agent (AB144842)

2D chemical structure image of ab144842, Nocardamine (Deferrioxamine E), Antibiotic agent

Key facts

CAS number

26605-16-3

Purity

>95%

Source

Streptomyces sp.

Molecular weight

600.7 Da

Molecular formula

C<sub>2</sub><sub>7</sub>H<sub>4</sub><sub>8</sub>N<sub>6</sub>O<sub>9</sub>

PubChem

161532

Nature

Native

Solubility

Soluble in water (with heating)

Soluble in DMSO

Biochemical name

Nocardamine

Biological description

Antibiotic agent. Siderophore iron chelator. Induces morphological changes in insect cells. Shows weak antimicrobial against Gram-positive bacteria.

Canonical smiles

C1CCNC(=O)CCC(=O)N(CCCCCNC(=O)CCC(=O)N(CCCCCNC(=O)CCC(=O)N(CC1)O)O)O

InChi

InChI=1S/C27H48N6O9/c34-22-10-14-26(38)32(41)20-8-3-6-18-30-24(36)12-15-27(39)33(42)21-9-2-5-17-29-23(35)11-13-25(37)31(40)19-7-1-4-16-28-22/h40-42H,1-21H2,(H,28,34)(H,29,35)(H,30,36)

InChiKey

NHKCCADZVLTPPO-UHFFFAOYSA-N

IUPAC Name

1,12,23-trihydroxy-1,6,12,17,23,28-hexazacyclotritriacontane-2,5,13,16,24,27-hexone

Properties and storage information

Shipped at conditions
Ambient - Can Ship with Ice
Appropriate short-term storage conditions
-20°C
Appropriate long-term storage conditions
-20°C
Storage information
Store under desiccating conditions|The product can be stored for up to 12 months

Product protocols

Product promise

We are committed to supporting your work with high-quality reagents, and we're here for you every step of the way. In the unlikely event that one of our products does not perform as expected, you're protected by our Product Promise.
For full details, please see our Terms & Conditions

Please note: All products are 'FOR RESEARCH USE ONLY. NOT FOR USE IN DIAGNOSTIC OR THERAPEUTIC PROCEDURES'.

For licensing inquiries, please contact partnerships@abcam.com