JavaScript is disabled in your browser. Please enable JavaScript to view this website.
AB144600

NPC-15437, PKC inhibitor

Be the first to review this product! Submit a review

|

(1 Publication)

MW 511.6 Da, Purity >98%. PKC inhibitor (IC50 = 19 μM). Interacts with regulatory domain at residues 12-42. Neuroprotective agent. Active in vivo and in vitro.
1 Images
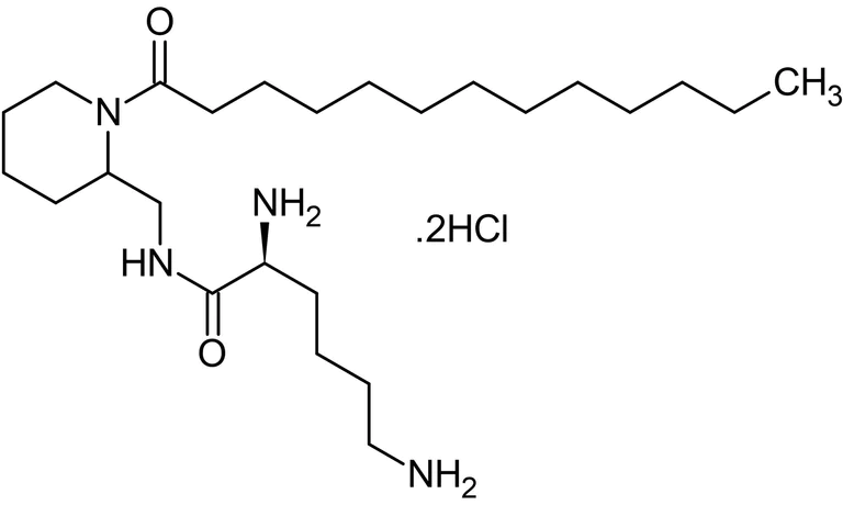
Chemical Structure - NPC-15437, PKC inhibitor (AB144600)
  • Chemical Structure

Lab

Chemical Structure - NPC-15437, PKC inhibitor (AB144600)

2D chemical structure image of ab144600, NPC-15437, PKC inhibitor

Key facts

CAS number

136449-85-9

Purity

>98%

Molecular weight

511.6 Da

Molecular formula

C<sub>2</sub><sub>5</sub>H<sub>5</sub><sub>2</sub>Cl<sub>2</sub>N<sub>4</sub>O<sub>2</sub>

PubChem

19778249

Nature

Synthetic

Solubility

Soluble in water to 25 mM

Biochemical name

2,6-diamino-N-[(1-tridecanoylpiperidin-2-yl)methyl]hexanamide;dihydrochloride

Biological description

PKC inhibitor (IC50 = 19 μM). Interacts with regulatory domain at residues 12-42. Neuroprotective agent. Active in vivo and in vitro.

Canonical smiles

CCCCCCCCCCCCC(=O)N1CCCCC1CNC(=O)C(CCCCN)N.Cl.Cl

InChi

InChI=1S/C25H50N4O2.2ClH/c1-2-3-4-5-6-7-8-9-10-11-18-24(30)29-20-15-13-16-22(29)21-28-25(31)23(27)17-12-14-19-26;;/h22-23H,2-21,26-27H2,1H3,(H,28,31);2*1H

InChiKey

RISSBZWRJRRXTD-UHFFFAOYSA-N

IUPAC Name

2,6-diamino-N-[(1-tridecanoylpiperidin-2-yl)methyl]hexanamide;dihydrochloride

Properties and storage information

Shipped at conditions
Ambient - Can Ship with Ice
Appropriate short-term storage conditions
-20°C
Appropriate long-term storage conditions
-20°C
Storage information
Store under desiccating conditions|The product can be stored for up to 12 months

Product protocols

Publications (1)

Recent publications for all applications. Explore the full list and refine your search

Frontiers in oncology 13:1178021 PubMed37483514

2023

Cystathionine β-synthase affects organization of cytoskeleton and modulates carcinogenesis in colorectal carcinoma cells.

Applications

Unspecified application

Species

Unspecified reactive species

Veronika Liskova,Barbora Chovancova,Petr Babula,Ingeborg Rezuchova,Kristina Ploth Pavlov,Miroslava Matuskova,Olga Krizanova
View all publications

Product promise

We are committed to supporting your work with high-quality reagents, and we're here for you every step of the way. In the unlikely event that one of our products does not perform as expected, you're protected by our Product Promise.
For full details, please see our Terms & Conditions

Please note: All products are 'FOR RESEARCH USE ONLY. NOT FOR USE IN DIAGNOSTIC OR THERAPEUTIC PROCEDURES'.

For licensing inquiries, please contact partnerships@abcam.com