JavaScript is disabled in your browser. Please enable JavaScript to view this website.
AB145617

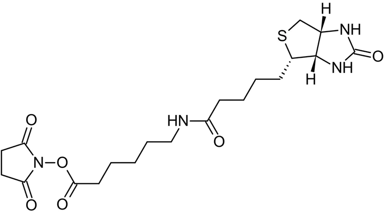
(Succinimidyl 6-(biotinamido)hexanoate), Amine-reactive biotinylation agent

Be the first to review this product! Submit a review

|

(0 Publication)

MW 454.5 Da, Purity >95%. Amine-reactive, medium length (22.4 angstroms) biotinylation agent. Forms irreversible amide links via an NHS ester group at the end of the spacer arm. Suitable for use under alkaline conditions (pH~8-9). Biotin-LC-LC-NHS (ab145618) also available.
1 Images
Chemical Structure - (Succinimidyl 6-(biotinamido)hexanoate), Amine-reactive biotinylation agent (AB145617)
  • Chemical Structure

Lab

Chemical Structure - (Succinimidyl 6-(biotinamido)hexanoate), Amine-reactive biotinylation agent (AB145617)

2D chemical structure image of ab145617, Biotin-LC-NHS (Succinimidyl 6-(biotinamido)hexanoate), Amine-reactive biotinylation agent

Key facts

CAS number

72040-63-2

Purity

>95%

Form

Solid

form

Molecular weight

454.5 Da

Molecular formula

C<sub>2</sub><sub>0</sub>H<sub>3</sub><sub>0</sub>N<sub>4</sub>O<sub>6</sub>S

PubChem

83874

Nature

Synthetic

Solubility

Soluble in DMSO to 25 mM

Biochemical name

2,5-Dioxopyrrolidin-1-yl 6-(5-((3aS,4S,6aR)-2-oxohexahydro-1H-thieno[3,4-d]imidazol-4-yl)pentanamido)hexanoate

Biological description

Amine-reactive, medium length (22.4 angstroms) biotinylation agent. Forms irreversible amide links via an NHS ester group at the end of the spacer arm. Suitable for use under alkaline conditions (pH~8-9). Biotin-LC-LC-NHS (ab145618) also available.

Canonical smiles

C1CC(=O)N(C1=O)OC(=O)CCCCCNC(=O)CCCCC2C3C(CS2)NC(=O)N3

Isomeric smiles

C1CC(=O)N(C1=O)OC(=O)CCCCCNC(=O)CCCC[C@H]2[C@@H]3[C@H](CS2)NC(=O)N3

InChi

InChI=1S/C20H30N4O6S/c25-15(7-4-3-6-14-19-13(12-31-14)22-20(29)23-19)21-11-5-1-2-8-18(28)30-24-16(26)9-10-17(24)27/h13-14,19H,1-12H2,(H,21,25)(H2,22,23,29)/t13-,14-,19-/m0/s1

InChiKey

UVGHPGOONBRLCX-NJSLBKSFSA-N

IUPAC Name

(2,5-dioxopyrrolidin-1-yl) 6-[5-[(3aS,4S,6aR)-2-oxo-1,3,3a,4,6,6a-hexahydrothieno[3,4-d]imidazol-4-yl]pentanoylamino]hexanoate

Properties and storage information

Shipped at conditions
Blue Ice
Appropriate short-term storage conditions
-20°C
Appropriate long-term storage conditions
-20°C
Storage information
Store under desiccating conditions|The product can be stored for up to 12 months

Product protocols

Product promise

We are committed to supporting your work with high-quality reagents, and we're here for you every step of the way. In the unlikely event that one of our products does not perform as expected, you're protected by our Product Promise.
For full details, please see our Terms & Conditions

Please note: All products are 'FOR RESEARCH USE ONLY. NOT FOR USE IN DIAGNOSTIC OR THERAPEUTIC PROCEDURES'.

For licensing inquiries, please contact partnerships@abcam.com