JavaScript is disabled in your browser. Please enable JavaScript to view this website.
AB142103

Sulfobetaine 3-16, Zwitterionic detergent

Be the first to review this product! Submit a review

|

(1 Publication)

MW 391.7 Da, Purity >98%. Zwitterionic detergent. Solubilizes membrane proteins. Retains zwitterionic characteristics over wide pH range.
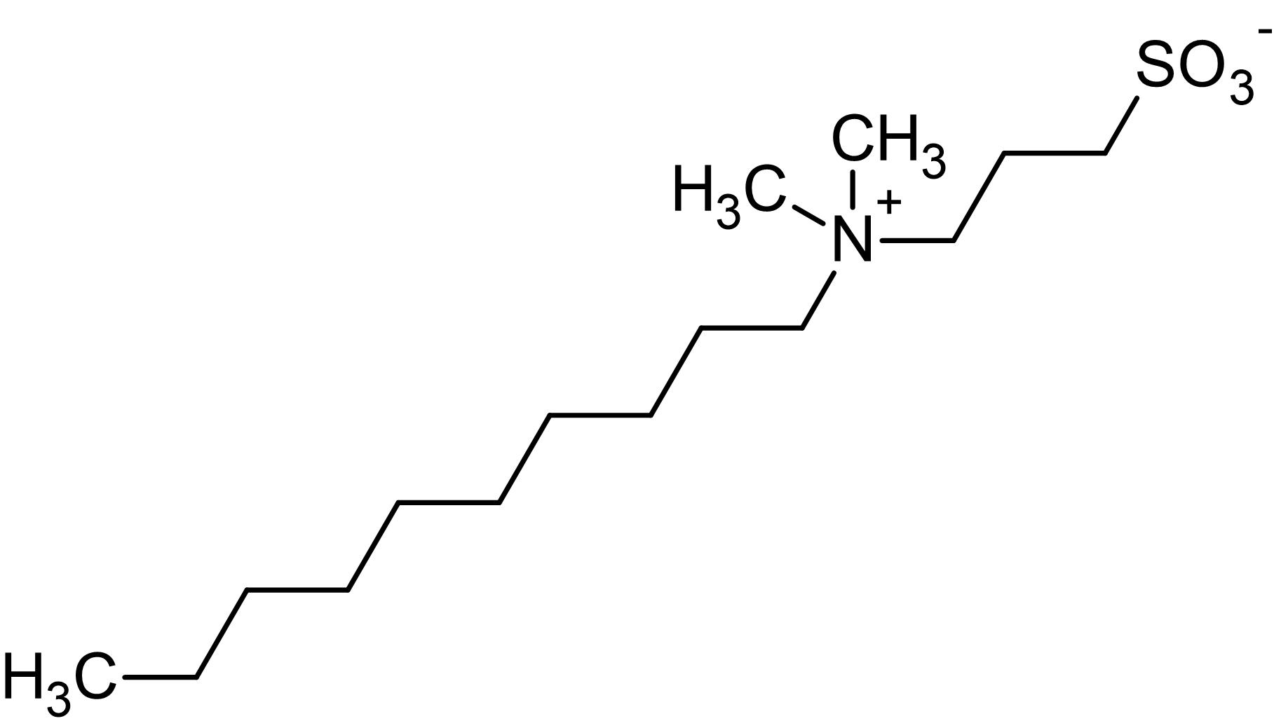
1 Images
Chemical Structure - Sulfobetaine 3-16, Zwitterionic detergent (AB142103)
  • Chemical Structure

Lab

Chemical Structure - Sulfobetaine 3-16, Zwitterionic detergent (AB142103)

2D chemical structure image of ab142103, Sulfobetaine 3-16, Zwitterionic detergent

Key facts

CAS number

2281-11-0

Purity

>98%

Form

Solid

form

Molecular weight

391.7 Da

Molecular formula

C<sub>2</sub><sub>1</sub>H<sub>4</sub><sub>5</sub>NO<sub>3</sub>S

PubChem

92176

Nature

Synthetic

Solubility

Soluble in water

Biochemical name

N-hexadecyl-N,N-dimethyl-3-ammonio-1-propanesulfonate

Biological description

Zwitterionic detergent. Solubilizes membrane proteins. Retains zwitterionic characteristics over wide pH range.

Canonical smiles

CCCCCCCCCCCCCCCC[N+](C)(C)CCCS(=O)(=O)[O-]

InChi

InChI=1S/C21H45NO3S/c1-4-5-6-7-8-9-10-11-12-13-14-15-16-17-19-22(2,3)20-18-21-26(23,24)25/h4-21H2,1-3H3

InChiKey

TUBRCQBRKJXJEA-UHFFFAOYSA-N

IUPAC Name

3-[hexadecyl(dimethyl)azaniumyl]propane-1-sulfonate

Product details

This product is manufactured by BioVision, an Abcam company and was previously called 1777 Sulfobetaine 3-16. 1777-5g is the same size as the 5 g size of ab142103.

Properties and storage information

Shipped at conditions
Ambient - Can Ship with Ice
Appropriate short-term storage conditions
Ambient
Appropriate long-term storage conditions
Ambient
Storage information
The product can be stored for up to 12 months

Product protocols

Publications (1)

Recent publications for all applications. Explore the full list and refine your search

Neural regeneration research 16:1086-1092 PubMed33269754

2020

Decellularized peripheral nerve grafts by a modified protocol for repair of rat sciatic nerve injury.

Applications

Unspecified application

Species

Unspecified reactive species

Arash Zaminy,Sara Sayad-Fathi,Farshad Moharrami Kasmaie,Zohreh Jahromi,Adib Zendedel
View all publications

Product promise

We are committed to supporting your work with high-quality reagents, and we're here for you every step of the way. In the unlikely event that one of our products does not perform as expected, you're protected by our Product Promise.
For full details, please see our Terms & Conditions

Please note: All products are 'FOR RESEARCH USE ONLY. NOT FOR USE IN DIAGNOSTIC OR THERAPEUTIC PROCEDURES'.

For licensing inquiries, please contact partnerships@abcam.com