JavaScript is disabled in your browser. Please enable JavaScript to view this website.
AB120286

Thapsigargin, Ca2+-ATPase inhibitor

5

(1 Review)

|

(43 Publications)

MW 650.8 Da, Purity >98%. A potent, cell-permeable Ca2+-ATPase inhibitor. Releases Ca2+ by inhibiting endoplasmic reticular Ca2+-ATPase (IC50 = 4-13 nM). Both tumorogenic and apoptotic actions reported.

View Alternative Names

AT2A1_HUMAN, ATP2A, ATP2A1, ATPase Ca++ transporting cardiac muscle fast twitch 1, ATPase Ca++ transporting fast twitch 1, ATPase, Ca(2+)-transporting fast twitch 1, Calcium pump 1, Calcium transporting ATPase sarcoplasmic reticulum type fast twitch skeletal muscle isoform, Calcium-transporting ATPase sarcoplasmic reticulum type, EC 3.6.3.8, Endoplasmic reticulum class 1/2 Ca(2+) ATPase, Fast skeletal muscle SR calcium ATPase, OTTHUMP00000162561, OTTHUMP00000162562, SERCA 1, SERCA1 truncated isoform, included, SR Ca(2+)-ATPase 1, Sarcoendoplasmic reticulum calcium ATPase, Sarcoplasmic reticulum Ca(2+)-ATPase 1, Sarcoplasmic/endoplasmic reticulum calcium ATPase 1, fast twitch skeletal muscle isoform

2 Images
Functional Studies - Thapsigargin, Ca2+-ATPase inhibitor (AB120286)
  • FuncS

Unknown

Functional Studies - Thapsigargin, Ca2+-ATPase inhibitor (AB120286)

ab58668 staining ATF3 in serum starved A549 cells treated with thapsigargin (ab120286), by ICC/IF. Increase of ATF3 correlates with increased concentration of thapsigargin, as described in literature.
The cells were incubated at 37°C for 1h in media containing different concentrations of ab120286 (thapsigargin) in DMSO, fixed with 4% formaldehyde for 10 minutes at room temperature and blocked with PBS containing 10% goat serum, 0.3 M glycine, 1% BSA and 0.1% tween for 2h at room temperature. Staining of the treated cells with ab58668 (10 µg/ml) was performed overnight at 4°C in PBS containing 1% BSA and 0.1% tween. A DyLight® 488 goat anti-mouse polyclonal antibody (ab96879) at 1/250 dilution was used as the secondary antibody. Nuclei were counterstained with DAPI and are shown in blue.

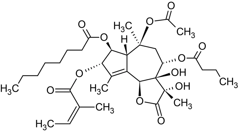
Chemical Structure - Thapsigargin, Ca2+-ATPase inhibitor (AB120286)
  • Chemical Structure

Lab

Chemical Structure - Thapsigargin, Ca2+-ATPase inhibitor (AB120286)

2D chemical structure image of ab120286, Thapsigargin, Ca2+-ATPase inhibitor

Key facts

CAS number

67526-95-8

Purity

>98%

Form

Solid

form

Source

Thapsia garganica

Molecular weight

650.8 Da

Molecular formula

C<sub>3</sub><sub>4</sub>H<sub>5</sub><sub>0</sub>O<sub>1</sub><sub>2</sub>

PubChem

446378

Nature

Native

Solubility

Soluble in DMSO to 100 mM

Biochemical name

Thapsigargin

Biological description

A potent, cell-permeable Ca2+-ATPase inhibitor. Releases Ca2+ by inhibiting endoplasmic reticular Ca2+-ATPase (IC50 = 4-13 nM). Both tumorogenic and apoptotic actions reported.

Canonical smiles

CCCCCCCC(=O)OC1C2C(=C(C1OC(=O)C(=CC)C)C)C3C(C(CC2(C)OC(=O)C)OC(=O)CCC)(C(C(=O)O3)(C)O)O

Isomeric smiles

CCCCCCCC(=O)O[C@H]1[C@H]2C(=C([C@@H]1OC(=O)/C(=C\C)/C)C)[C@H]3[C@]([C@H](C[C@]2(C)OC(=O)C)OC(=O)CCC)([C@](C(=O)O3)(C)O)O

InChi

InChI=1S/C34H50O12/c1-9-12-13-14-15-17-24(37)43-28-26-25(20(5)27(28)44-30(38)19(4)11-3)29-34(41,33(8,40)31(39)45-29)22(42-23(36)16-10-2)18-32(26,7)46-21(6)35/h11,22,26-29,40-41H,9-10,12-18H2,1-8H3/b19-11-/t22-,26+,27-,28-,29-,32-,33+,34+/m0/s1

InChiKey

IXFPJGBNCFXKPI-FSIHEZPISA-N

IUPAC Name

[(3S,3aR,4S,6S,6aR,7S,8S,9bS)-6-acetyloxy-4-butanoyloxy-3,3a-dihydroxy-3,6,9-trimethyl-8-[(Z)-2-methylbut-2-enoyl]oxy-2-oxo-4,5,6a,7,8,9b-hexahydroazuleno[4,5-b]furan-7-yl] octanoate

Properties and storage information

Shipped at conditions
Ambient - Can Ship with Ice
Appropriate short-term storage conditions
-20°C
Appropriate long-term storage conditions
-20°C
Storage information
Store under desiccating conditions|The product can be stored for up to 12 months

Supplementary information

This supplementary information is collated from multiple sources and compiled automatically.

SERCA1 ATPase also known as sarco/endoplasmic reticulum Ca2+ ATPase 1 is an important enzyme responsible for the active transport of Ca2+ ions from the cytosol into the sarcoplasmic reticulum which is important for muscle relaxation. This protein has a molecular weight of about 110 kDa. SERCA1 ATPase predominantly expresses in fast-twitch skeletal muscle allowing these muscles to relax rapidly after contraction. The enzyme utilizes ATP to pump calcium ions which highlights its role as an ATPase protein and its functionality in maintaining calcium homeostasis.
Biological function summary

SERCA1 ATPase ensures proper calcium regulation and muscle function by facilitating the reuptake of Ca2+ ions into the sarcoplasmic reticulum following muscle contraction. It does not operate as part of a complex but plays a significant role in calcium ion translocation thereby regulating muscle contraction-relaxation cycles. This ATPase protein is directly involved in muscle physiology and its efficient function is critical for fast muscle fibers.

Pathways

SERCA1 ATPase is a significant component of the calcium signaling and muscle contraction pathways. In the context of muscle contraction the release and reuptake of Ca2+ ions regulated by SERCA1 ATPase are central events. The protein works closely with the ryanodine receptor (RyR) and calsequestrin which also participate in the modulation of intracellular calcium levels. Their interactions ensure precise coordination during muscle contraction and relaxation processes.

Mutations or dysregulation of SERCA1 ATPase can lead to conditions such as Brody disease and certain forms of myopathy. Brody disease is characterized by impaired muscle relaxation which directly relates to the malfunctioning of this Ca2+ ATPase. Additionally the disrupted function of SERCA1 ATPase may also involve interactions with other proteins like the ryanodine receptor which can exacerbate muscle-related symptoms and contribute to the pathophysiology of these disorders.

Product protocols

Publications (43)

Recent publications for all applications. Explore the full list and refine your search

Cellular and molecular life sciences : CMLS 82:238 PubMed40515767

2025

Resting Ca fluxes protect cells from fast mitochondrial fragmentation, cell stress responses, and immediate transcriptional reprogramming.

Applications

Unspecified application

Species

Unspecified reactive species

Caroline Fecher,Annemarie Sodmann,Felicitas Schlott,Juliane Jaepel,Franziska Schmitt,Isabella Lengfelder,Thorsten Bischler,Bernhard Nieswandt,Konstanze F Winklhofer,Robert Blum

The EMBO journal 43:5057-5084 PubMed39284914

2024

ER-phagy restrains inflammatory responses through its receptor UBAC2.

Applications

Unspecified application

Species

Unspecified reactive species

Xing He,Haowei He,Zitong Hou,Zheyu Wang,Qinglin Shi,Tao Zhou,Yaoxing Wu,Yunfei Qin,Jun Wang,Zhe Cai,Jun Cui,Shouheng Jin

eLife 12: PubMed39259196

2024

Revealing a hidden conducting state by manipulating the intracellular domains in K10.1 exposes the coupling between two gating mechanisms.

Applications

Unspecified application

Species

Unspecified reactive species

Reham Abdelaziz,Adam P Tomczak,Andreas Neef,Luis A Pardo

Thoracic cancer 15:2116-2127 PubMed39245881

2024

IRE1α-XBP1s axis regulates SREBP1-dependent MRP1 expression to promote chemoresistance in non-small cell lung cancer cells.

Applications

Unspecified application

Species

Unspecified reactive species

Yuzhou Xu,Feng Gui,Zhe Zhang,Zhongyang Chen,Tiange Zhang,Yunhan Hu,Huijun Wei,Yuchen Fu,Xinde Chen,Zhihao Wu

Cells 13: PubMed38727283

2024

TurboID-Based IRE1 Interactome Reveals Participants of the Endoplasmic Reticulum-Associated Protein Degradation Machinery in the Human Mast Cell Leukemia Cell Line HMC-1.2.

Applications

Unspecified application

Species

Unspecified reactive species

Nabil Ahmed,Christian Preisinger,Thomas Wilhelm,Michael Huber

Cellular & molecular immunology 21:604-619 PubMed38689020

2024

Immunopeptidome mining reveals a novel ERS-induced target in T1D.

Applications

Unspecified application

Species

Unspecified reactive species

Lina Wang,Shushu Yang,Gaohui Zhu,Jie Li,Gang Meng,Xiaoling Chen,Mengjun Zhang,Shufeng Wang,Xiangqian Li,Yu Pan,Yi Huang,Li Wang,Yuzhang Wu

The Journal of cell biology 222: PubMed36705603

2023

Tex2 is required for lysosomal functions at TMEM55-dependent ER membrane contact sites.

Applications

Unspecified application

Species

Unspecified reactive species

Yuanjiao Du,Weiping Chang,Lei Gao,Lin Deng,Wei-Ke Ji

Nature communications 13:4268 PubMed35879332

2022

Integrin α3β1 promotes vessel formation of glioblastoma-associated endothelial cells through calcium-mediated macropinocytosis and lysosomal exocytosis.

Applications

Unspecified application

Species

Unspecified reactive species

Eunnyung Bae,Ping Huang,Gaёlle Müller-Greven,Dolores Hambardzumyan,Andrew Edward Sloan,Amy S Nowacki,Nicholas Marko,Cathleen R Carlin,Candece L Gladson

Biomaterials 284:121477 PubMed35395455

2022

Application of piconewton forces to individual filopodia reveals mechanosensory role of L-type Ca channels.

Applications

Unspecified application

Species

Unspecified reactive species

Artem K Efremov,Mingxi Yao,Yuze Sun,Yee Han Tee,Michael P Sheetz,Alexander D Bershadsky,Boris Martinac,Jie Yan

General physiology and biophysics 41:71-78 PubMed35253652

2022

FAM134B-mediated ER-phagy alleviates endoplasmic reticulum stress of rat soleus muscle in response to acute exercise.

Applications

Unspecified application

Species

Unspecified reactive species

Songlin Jin,Lunyu Li,Zaifang Ren,Junping Li,Ruiyuan Wang,Haili Ding
View all publications

Product promise

We are committed to supporting your work with high-quality reagents, and we're here for you every step of the way. In the unlikely event that one of our products does not perform as expected, you're protected by our Product Promise.
For full details, please see our Terms & Conditions

Please note: All products are 'FOR RESEARCH USE ONLY. NOT FOR USE IN DIAGNOSTIC OR THERAPEUTIC PROCEDURES'.

For licensing inquiries, please contact partnerships@abcam.com