JavaScript is disabled in your browser. Please enable JavaScript to view this website.
AB307782

ioGlutamatergic Neurons TDP-43 M337V heterozygous - Human iPSC derived cells

Be the first to review this product! Submit a review

|

(0 Publication)

ioGlutamatergic Neurons TDP-43 M337V heterozygous - Human iPSC derived cells available to order. Wild type ioGlutamatergic Neurons (ab303447) form the genetically matched control for the ioGlutamatergic Neurons TDP-43 M337V heterozygous disease model.
4 Images
Functional Studies - ioGlutamatergic Neurons TDP-43 M337V heterozygous - Human iPSC derived cells (AB307782)
  • FuncS

Supplier Data

Functional Studies - ioGlutamatergic Neurons TDP-43 M337V heterozygous - Human iPSC derived cells (AB307782)

ioGlutamatergic Neurons TDP-43M337V/WT and ioGlutamatergic Neurons TDP-43M337V/M337V mature rapidly and form structural neuronal networks over 11 days when compared to the isogenic control. Day 1 to 11 post-thawing; 100X magnification.

Immunocytochemistry/ Immunofluorescence - ioGlutamatergic Neurons TDP-43 M337V heterozygous - Human iPSC derived cells (AB307782)
  • ICC/IF

Supplier Data

Immunocytochemistry/ Immunofluorescence - ioGlutamatergic Neurons TDP-43 M337V heterozygous - Human iPSC derived cells (AB307782)

Immunofluorescent staining on post-revival day 11 demonstrates similar homogenous expression of glutamatergic neuron-specific transporter VGLUT2 (upper panel) and pan-neuronal proteins MAP2 and TUBB3 (lower panel) in ioGlutamatergic Neurons TDP-43M337V/WT and ioGlutamatergic Neurons TDP-43M337V/M337V compared to the isogenic control. 100X magnification.

RT-PCR - ioGlutamatergic Neurons TDP-43 M337V heterozygous - Human iPSC derived cells (AB307782)
  • RT-PCR

Supplier Data

RT-PCR - ioGlutamatergic Neurons TDP-43 M337V heterozygous - Human iPSC derived cells (AB307782)

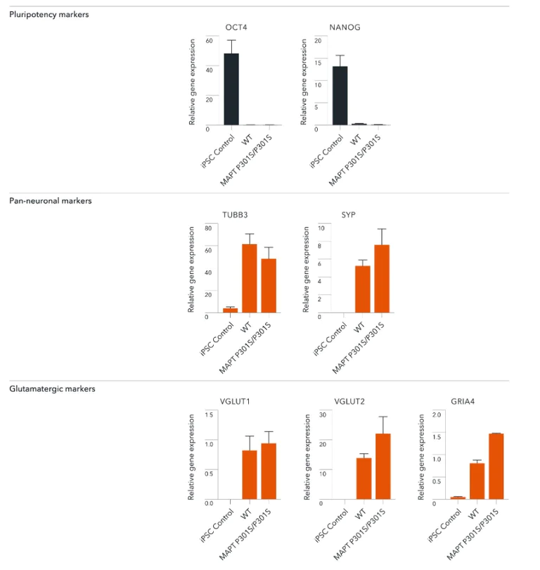
Gene expression analysis demonstrates that ioGlutamatergic Neurons TDP-43M337V/WT, ioGlutamatergic Neurons TDP-43M337V/M337V and the isogenic control (WT) lack the expression of pluripotency makers (NANOG and OCT4), at day 11, whilst robustly expressing pan-neuronal (TUBB3 and SYP) and glutamatergic-specific (VGLUT1 and VGLUT2) markers, and the glutamate receptor GRIA4. Gene expression levels were assessed by RT-qPCR (data expressed relative to the parental hiPSC control (iPSC Control), normalised to HMBS). Data represents day 11 post-revival samples.

RT-PCR - ioGlutamatergic Neurons TDP-43 M337V heterozygous - Human iPSC derived cells (AB307782)
  • RT-PCR

Supplier Data

RT-PCR - ioGlutamatergic Neurons TDP-43 M337V heterozygous - Human iPSC derived cells (AB307782)

Gene expression analysis demonstrates that ioGlutamatergic Neurons TDP-43M337V/WT, ioGlutamatergic Neurons TDP-43M337V/M337V and the isogenic control (WT) express the TARDBP gene encoding TDP-43. Gene expression levels were assessed by RT-qPCR (data expressed relative to the parental hiPSC control (iPSC Control), normalised to HMBS). Data represents day 11 post-revival samples.

Key facts

Species or organism

Human

Form

Liquid

form

Reactivity data

{ "title": "Reactivity Data", "filters": { "stats": ["", "Reactivity", "Dilution Info", "Notes"] }, "values": { "ICC/IF": { "reactivity":"TESTED_AND_REACTS", "dilution-info":"", "notes":"<p></p>" }, "FuncS": { "reactivity":"TESTED_AND_REACTS", "dilution-info":"", "notes":"<p></p>" }, "RT-PCR": { "reactivity":"TESTED_AND_REACTS", "dilution-info":"", "notes":"<p></p>" } } }

Product details

Wild type ioGlutamatergic Neurons (ab303447) form the genetically matched control for the ioGlutamatergic Neurons TDP-43 M337V heterozygous disease model. This physiologically-relevant isogenic pairing offers a powerful next generation model to study amyotrophic lateral sclerosis (ALS) and frontotemporal dementia (FTD) in research and drug discovery.

ioGlutamatergic Neurons TDP-43 M337V heterozygous are ioGlutamatergic Neurons carrying a genetically engineered M337V mutation in the TARDBP gene, encoding TAR DNA binding protein 43 (TDP-43). ioGlutamatergic Neurons TDP-43 M337V heterozygous have been reprogrammed from human iPSCs using opti-oxTM technology, a precise reprogramming technology.

Human stem cells, within days, convert consistently into mature, functional glutamatergic neurons providing a high quality human model for the study of ALS and FTD.

ioGlutamatergic Neurons TDP-43 M337V heterozygous express pan-neuronal and glutamatergic markers TUBB3, MAP2 and VGLUT2 by day 11.

This disease model offers a fast and easy-to-use system for investigations into the impact of gene function on disease progression against an isogenic control.

A homozygous disease model is also available (ab307781).

In partnership with bit.bio

Karyotype: Normal

Seeding Density: 30,000 cells/cm2

Seeding compatibility: 6-, 12-, 24-, 96- and 384-well compatible

Quality control: ICC and gene expression analysis

Research applications: Academic research, Drug development, Neurotoxicology, Genetic screening (e.g. CRISPR screening).

This product is subject to limited use licenses from iPS Academia Japan Inc, TET Systems GmbH, ERS Genomics Limited and Sigma-Aldrich Co. LLC and is developed with Bit Bio patented technology. For full details of the licenses and patents please refer to our limited use license and patent pages.

Properties and storage information

Shipped at conditions
Dry Ice
Appropriate short-term storage conditions
-196°C
Appropriate long-term storage conditions
-196°C

Handling procedures

Culture medium

Refer to protocol booklet

Cell culture

Biosafety level

EU: 1 US: 1

Gender

Male

Viability

> 85%

Product protocols

websiteProtocolBooklet
en

Product promise

We are committed to supporting your work with high-quality reagents, and we're here for you every step of the way. In the unlikely event that one of our products does not perform as expected, you're protected by our Product Promise.
For full details, please see our Terms & Conditions

Please note: All products are 'FOR RESEARCH USE ONLY. NOT FOR USE IN DIAGNOSTIC OR THERAPEUTIC PROCEDURES'.

For licensing inquiries, please contact partnerships@abcam.com