JavaScript is disabled in your browser. Please enable JavaScript to view this website.
AB317486

ioMotor Neurons™ - Human iPSC derived cells

Be the first to review this product! Submit a review

|

(0 Publication)

ioMotor Neurons™ - Human iPSC derived cells available to order. ioMotor Neurons have been precision reprogrammed from human induced pluripotent stem cells (iPSC) using opti-ox™ technology.
11 Images
Functional Studies - ioMotor Neurons™ - Human iPSC derived cells (AB317486)
  • FuncS

Supplier Data

Functional Studies - ioMotor Neurons™ - Human iPSC derived cells (AB317486)

ioMotor Neurons are functional – showing activity in astrocyte co-culture that increases over time as networks mature. Mean firing rates (electrode spike count divided by the total time of the recording period) is shown to increase substantially throughout the course of the experiment, as demonstrated by multielectrode array activity (MEA).

Functional Studies - ioMotor Neurons™ - Human iPSC derived cells (AB317486)
  • FuncS

Supplier Data

Functional Studies - ioMotor Neurons™ - Human iPSC derived cells (AB317486)

Spontaneous neuronal activity is exhibited from as early as day 14 and continues to increase up to the final measured timepoint, day 42.

Light Microscopy - ioMotor Neurons™ - Human iPSC derived cells (AB317486)
  • LM

Supplier Data

Light Microscopy - ioMotor Neurons™ - Human iPSC derived cells (AB317486)

ioMotor Neurons form a homogenous neuronal network by day 4. ioMotor Neurons mature rapidly and form homogenous populations over 18 days. Day 1 to 18 post thawing; 100X magnification.

Immunocytochemistry/ Immunofluorescence - ioMotor Neurons™ - Human iPSC derived cells (AB317486)
  • ICC/IF

Supplier Data

Immunocytochemistry/ Immunofluorescence - ioMotor Neurons™ - Human iPSC derived cells (AB317486)

Immunocytochemistry shows protein expression of key motor neuron markers. Immunofluorescent staining on post-revival day 4 and day 11 demonstrates homogenous expression of the pan-neuronal protein MAP2, motor neuron specific marker HB9, the cholinergic marker VAChT and nuclear staining (DAPI).

Immunocytochemistry/ Immunofluorescence - ioMotor Neurons™ - Human iPSC derived cells (AB317486)
  • ICC/IF

Supplier Data

Immunocytochemistry/ Immunofluorescence - ioMotor Neurons™ - Human iPSC derived cells (AB317486)

Immunocytochemistry shows protein expression of key motor neuron markers. Immunofluorescent staining on post-revival day 4 and day 11 demonstrates homogenous expression of the pan-neuronal protein TUBB3, motor neuron specific marker ISL2, the cholinergic marker ChAT and nuclear staining (DAPI).

Sequencing - ioMotor Neurons™ - Human iPSC derived cells (AB317486)
  • Sequencing

Supplier Data

Sequencing - ioMotor Neurons™ - Human iPSC derived cells (AB317486)

Bulk RNA-sequencing exhibits a HOX gene signature indicative of a spinal motor neuron (cervical region) identity. Expression of HOX genes was evaluated using bulk RNA sequencing data. This heatmap shows expression of genes from the B cluster and expression of HOXC4 and HOXC5, although at lower levels. This data, together with the marker expression from single cell RNA sequencing, suggests that ioMotor Neurons have a spinal cord (cervical region) identity. Note, this data is from cells in continuous culture and not cryopreserved cells.

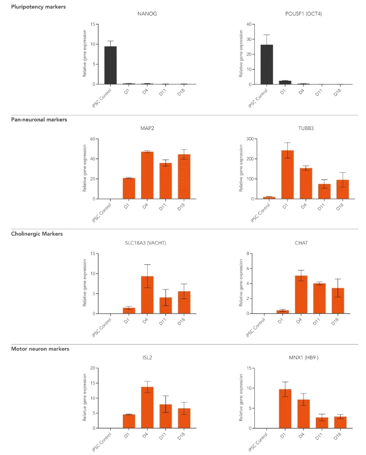
RT-PCR - ioMotor Neurons™ - Human iPSC derived cells (AB317486)
  • RT-PCR

Supplier Data

RT-PCR - ioMotor Neurons™ - Human iPSC derived cells (AB317486)

RT-qPCR shows gene expression of key motor neuron markers. RT-qPCR gene expression on post-revival days 1, 4, 11 & 18 demonstrates rapid acquisition of motor neuron genotype, shown by the expression of pan-neuronal, cholinergic & key lower motor neuron markers from as early as day 1. Pluripotency markers NANOG and OCT4 are swiftly downregulated.

Sequencing - ioMotor Neurons™ - Human iPSC derived cells (AB317486)
  • Sequencing

Supplier Data

Sequencing - ioMotor Neurons™ - Human iPSC derived cells (AB317486)

Single cell RNA-sequencing shows ioMotor Neurons form a pure population (>99.9%) of neurons.

Single cell RNA-sequencing analysis was performed with ioMotor Neurons at four timepoints : day 0 (iPSCs), 4, 7, and 14. Gene expression was assessed by 10x Genomics single cell RNA-sequencing. Note, this data is from cells in continuous culture and not cryopreserved cells. By day 14, the population has a distinct expression profile indicating a pure population (>99.9%) of post-mitotic neurons, demonstrated through the expression pan-neuronal markers MAP2 and TUBB3.

Sequencing - ioMotor Neurons™ - Human iPSC derived cells (AB317486)
  • Sequencing

Supplier Data

Sequencing - ioMotor Neurons™ - Human iPSC derived cells (AB317486)

Bulk RNA-sequencing demonstrates high batch-to-batch consistency of ioMotor Neurons. Bulk RNA sequencing analysis was performed on three independent batches of ioMotor Neurons at three different time points throughout the reprogramming protocol. Principal component analysis represents the variance in gene expression between the batches of ioMotor Neurons. This analysis shows high consistency between each batch of ioMotor Neurons at each given timepoint. Populations of ioMotor Neurons with equivalent expression profiles can be generated consistently from every vial, allowing confidence in experimental reproducibility. Note, this data is from cells in continuous culture and not cryopreserved cells.

Sequencing - ioMotor Neurons™ - Human iPSC derived cells (AB317486)
  • Sequencing

Supplier Data

Sequencing - ioMotor Neurons™ - Human iPSC derived cells (AB317486)

Single cell RNA-sequencing shows ioMotor Neurons express key spinal motor neuron markers, >80% of cells express MNX1 on day 14.

Starting from day 4, the expression of the key spinal motor neuron marker genes MNX1 (HB9), FOXP1, and ISL2 is detected in the culture, with >80% of cells expressing MNX1 on day 14. These percentages are likely to be an underestimation due to limitation of single cell RNA sequencing, as ICC for HB9 & ISL2 shows homogeneous expression of these markers in our cultures.

Sequencing - ioMotor Neurons™ - Human iPSC derived cells (AB317486)
  • Sequencing

Supplier Data

Sequencing - ioMotor Neurons™ - Human iPSC derived cells (AB317486)

Single cell RNA-sequencing shows a high proportion of ioMotor Neurons express cholinergic markers by day 7. Within 7 days, the expression of the key cholinergic marker genes CHAT & SLC18A3 (VAChT) are detected in a high proportion of ioMotor Neurons.

Key facts

Species or organism

Human

Tissue

Spinal motor neurons

Form

Liquid

form

Reactivity data

{ "title": "Reactivity Data", "filters": { "stats": ["", "Reactivity", "Dilution Info", "Notes"] }, "values": { "RT-PCR": { "reactivity":"TESTED_AND_REACTS", "dilution-info":"", "notes":"<p></p>" }, "Sequencing": { "reactivity":"TESTED_AND_REACTS", "dilution-info":"", "notes":"<p></p>" }, "ICC/IF": { "reactivity":"TESTED_AND_REACTS", "dilution-info":"", "notes":"<p></p>" }, "FuncS": { "reactivity":"TESTED_AND_REACTS", "dilution-info":"", "notes":"<p></p>" }, "LM": { "reactivity":"TESTED_AND_REACTS", "dilution-info":"", "notes":"<p></p>" } } }

Product details

ioMotor Neurons have been precision reprogrammed from human induced pluripotent stem cells (iPSC) using opti-ox™ technology. Within days, cells convert consistently to defined, functional motor neurons, showing the expression of key lower motor neuron marker genes MNX1(HB9), FOXP1, ISL2 and cholinergic markers CHAT & SLC18A3 (VAChT) by day 4.

Properties and storage information

Shipped at conditions
Dry Ice
Appropriate short-term storage conditions
-196°C
Appropriate long-term storage conditions
-196°C

Handling procedures

Culture medium

Refer to protocol booklet

Cryopreservation medium

Cell Freezing Medium-DMSO Serum free media, contains 8.7% DMSO in MEM supplemented with methyl cellulose.

Cell culture

Gender

Male

Viability

> 85%

Product protocols

websiteProtocolBooklet
en

Product promise

We are committed to supporting your work with high-quality reagents, and we're here for you every step of the way. In the unlikely event that one of our products does not perform as expected, you're protected by our Product Promise.
For full details, please see our Terms & Conditions

Please note: All products are 'FOR RESEARCH USE ONLY. NOT FOR USE IN DIAGNOSTIC OR THERAPEUTIC PROCEDURES'.

For licensing inquiries, please contact partnerships@abcam.com