JavaScript is disabled in your browser. Please enable JavaScript to view this website.
AB102890

HRP Conjugation Kit - Lightning-Link®

4

(3 Reviews)

|

(181 Publications)

HRP Conjugation Kit (ab102890) offers several standout features:

- Rapid Conjugation: achieve horseradish peroxidase (HRP) labeling in under 4 hours with just 30 seconds of hands-on time.
- High Efficiency: ensures 100% antibody recovery, meaning no loss of valuable antibodies.
- Versatility: suitable for conjugating antibodies, proteins, and peptides. HRP-labeled antibodies can be used immediately in applications such as Western blot, ELISA, and Immunohistochemistry (IHC) without further purification.
- Proven performance: cited in over 180 publications.
- Compatible with our HRP Conjugate Stabilizer - LifeXtend (ab270548)
10 Images
Conjugation - HRP Conjugation Kit - Lightning-Link® (AB102890)
  • Conjugation

PubMed

Parkash, Om, et al used HRP Conjugation Kit - Lightning-Link® (ab102890) as part of the development and evaluation of a biosensor based on screen-printed carbon electrodes (SPCEs) for the detection of dengue-specific immunoglobulin M (IgM) antibodies. They used the kit to conjugate HRP to anti-dengue antibody for use in conjugation.
(A) Schematic diagram of the screen printed carbon electrode (SCPE)-based dengue IgM biosensor. The biosensor was constructed by sequentially adding optimised concentration of anti-human IgM capture antibody, blocking agent, human IgM antibody or serum sample, dengue antigen and detection antibody, with washing steps in between. Electrochemical signal was generated following addition of TMB substrate. (B) Comparison of various immobilisation techniques for the goat anti-human IgM capture antibody. NC : negative control consisting of a dengue IgM negative serum sample; PC : dengue IgM positive serum sample. (C) Field Emission Scanning Electron Microscopy (FESEM) surface images of (left panel) a bare carbon electrode and (right panel) a carbon electrode modified with an anti-human IgM antibody using the streptavidin/biotin immobilisation system. Both capture and detection antibodies were labeled using Lightning-Link® conjugation kits (ab201796 and ab102890).

Image from Parkash, Om, et al., Diagnostics (Basel), 11(1):33; doi: 10.3390/diagnostics11010033. Reproduced under the Creative Commons license https://creativecommons.org/licenses/by/4.0/

Schematic Diagram - HRP Conjugation Kit - Lightning-Link® (AB102890)
  • Schematic Diagram

Supplier Data

This illustration demonstrates a general procedure of how Lightning-Link® labeling technology enables the direct labeling of antibodies or proteins.

Simply pipette your antibody or biomolecule of choice into the vial of a lyophilized mixture containing the label of interest and incubate for around 3 hours. Please see the ab102890 protocol booklet for more details.

Learn more about our Lightning-Link® conjugation kits here

ELISA - HRP Conjugation Kit - Lightning-Link® (AB102890)
  • ELISA

PubMed

ELISA - HRP Conjugation Kit Lightning-Link.

Cervin, Jakob, et al used HRP Conjugation Kit - Lightning-Link® (ab102890) as part of examining binding of Cholera Toxin subunit B (CTB) to blood group antigen LewisX (LeX). They used the kit to conjugate HRP to CTB and G33D (mutated version of CTB) for use in ELISA.
ELISA with titrated amounts human serum albumin-linked oligosaccharides (HSA-OS), immobilized to wells and detected with (B) CTB-HRP and (C) G33D-HRP. Graph shows absorbance values from three independent experiments.

Image from Cervin, Jakob, et al., PLoS pathogens: 14.2 (2018): e1006862. Reproduced under the Creative Commons license https://creativecommons.org/licenses/by/4.0/

Sandwich ELISA - HRP Conjugation Kit - Lightning-Link® (AB102890)
  • sELISA

Unknown

HRP conjugation kit ab102890 is used by Abcam extensively in ELISA development. It is used for development / manufacturing of Abcam's SimpleStep ELISA® kits, including the Frataxin ELISA kit ab176112 used to produce the image above.

Transformed B lymphocyte cells from Friedreich's Ataxia (FA) samples were compared to heterozygous carrier B lymphocyte cells (Carrier) and control B lymphocyte cells (Control). B lymphocyte cell extracts were analyzed across a 7-point titration (0.1-100 μg/mL) and frataxin levels were interpolated from the standard curve. Average interpolated values of Frataxin are plotted.

Western blot - HRP Conjugation Kit - Lightning-Link® (AB102890)
  • WB

PubMed

Lemaire, Katleen, et al used HRP Conjugation Kit - Lightning-Link® (ab102890) as part of examining protein interactions. They used the kit to conjugate HRP to anti-BIP and anti-UFBP1 antibodies for use in detection by western blot after immunoprecipitation.
Co-immunoprecipitation with BiP, UFL1 and UFM1 specific antibodies. BiP and UFBP1 antibodies were conjugated to HRP using ab102890 for detection after immunoprecipitation.

false

Image from Lemaire, Katleen, et al., PloS one, 6(4): e18517; doi: 10.1371/journal.pone.0018517. Reproduced under the Creative Commons license https://creativecommons.org/licenses/by/4.0/

Conjugation - HRP Conjugation Kit - Lightning-Link® (AB102890)
  • Conjugation

PubMed

HRP Conjugation Kit - Lightning-Link® labeling monoclonal and polyclonal rabbit IgG for ELISA.

Gram M et al. used ab102890 to assess levels of cell free fetal haemoglobin (HbF) and haptoglobin (Hp) by ELISA.

Samples were from normal pregnancies (Control) and women diagnosed with PE. The cell-free HbF plasma concentration of each patient sample (Control and PE) was plotted against the Hp plasma concentration.

Image from Gram M et al.,PLoS One, 10(9):e0138111. Fig 1.; doi: 10.1371/journal.pone.0138111. Reproduced under the Creative Commons license https://creativecommons.org/licenses/by/4.0/

Conjugation - HRP Conjugation Kit - Lightning-Link® (AB102890)
  • Conjugation

PubMed

HRP Conjugation Kit - Lightning-Link® labeling polyclonal goat and Mab-16E3 anti-MPO antibodies for ELISA.

Laura RP et al. used ab102890 to determine concentrations of MPO by ELISA.

The relative amounts of secreted versus cellular myeloperoxidase (MPO) were calculated for each cell line.

Image from Laura RP et al., PloS One, 11(2):e0149391. Fig 2.; doi: 10.1371/journal.pone.0149391. Reproduced under the Creative Commons license https://creativecommons.org/licenses/by/4.0/

Conjugation - HRP Conjugation Kit - Lightning-Link® (AB102890)
  • Conjugation

PubMed

HRP Conjugation Kit - Lightning-Link® labeling C3C antibody for competitive ELISA.

Rasmussen DG et al. used ab102890 to determine levels of C3C by competitive ELISA.

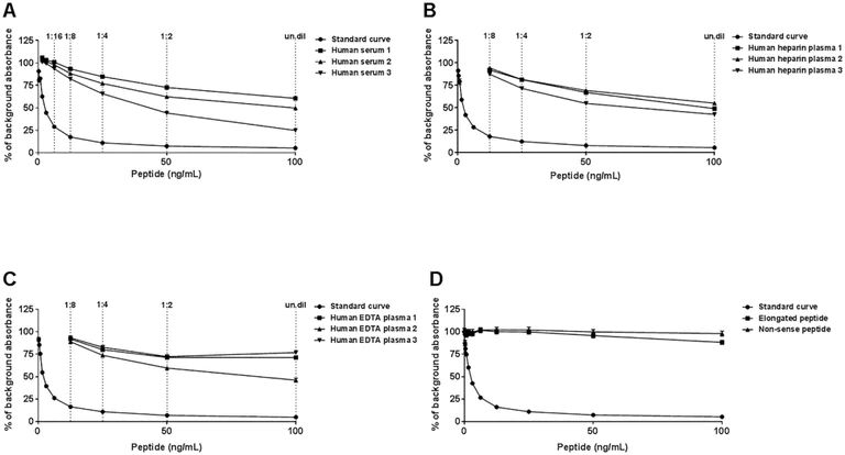
(A) Standard curve and inhibition of the competitive ELISA signal using healthy human serum, (B) human heparin plasma and (C) human EDTA plasma. The native material was run from undiluted and up to 8-fold diluted as indicated. (D) Neo-epitope specificity of the C3C ELISA was shown by comparing reactivity towards an elongated peptide, i.e. a peptide with an additional amino acid at the N-terminal generated by cleavage, a non-sense peptide, i.e. a peptide with a different sequence, and the standard peptide. The standard peptide (i.e. standard curve), elongated peptide, and non-sense peptide were diluted 2-fold from 100 ng/mL. The data is presented as percent (%) of background absorbance, which is the absorbance with only assay buffer present, as a function of peptide concentration.

Image from Rasmussen DG et al., PLoS One, 12(1):e0170023. Fig 2.; doi: 10.1371/journal.pone.0170023. Reproduced under the Creative Commons license https://creativecommons.org/licenses/by/4.0/

Conjugation - HRP Conjugation Kit - Lightning-Link® (AB102890)
  • Conjugation

PubMed

Rackus, Darius G., et al used HRP Conjugation Kit - Lightning-Link® (ab102890) as part of examining digital microfluidics for detection a malaria biomarker. They used the kit to conjugate HRP to anti-Plasmodium falciparum LDH antibody for use in pre-concentration by liquid intake by paper (P-CLIP).
DMF immunoassay for PfLDH. Comparison of mean signals obtained by traditional DMF-ELISA (black) and P-CLIP modified DMF-ELISA (grey) for concentrations below the limit of detection (7 ng mL-1) and limit of quantitation (70 ng mL-1) of the traditional DMF-ELISA. Error bars ± 1 std. dev. (n = 3).

Image from Rackus et al., Lab Chip., 17(13):2272-2280; doi: 10.1039/c7lc00440k.Reproduced under the Creative Commons license https://creativecommons.org/licenses/by/3.0/

Conjugation - HRP Conjugation Kit - Lightning-Link® (AB102890)
  • Conjugation

PubMed

HRP Conjugation Kit - Lightning-Link® labeling monoclonal EL-NE antibody for competitive ELISA.

Kristensen JH et al. used ab102890 for the quantification of neutrophil elastase (NE)-degraded elastin (EL).

EL-NE fragment levels in serum from patients with IPF (n = 10) compared with controls (n = 9).

** p < 0.01. (B) : EL-NE fragment levels in serum from patients diagnosed with lung cancer (n = 40 in total), SCC (n = 16), adenocarcinoma (n = 16) and SCLC (n = 8) compared with controls (n = 12). **** p < 0.0001. Groups were compared by T-test with Welch correction. Data are shown as the geometric mean (95% CI).

Abbreviations : IPF, idiopathic pulmonary fibrosis; SCC, squamous cell carcinoma; SCLC, small cell lung carcinoma.

Image from Kristensen JH et al., BMC Pulm Med., 15:53. Fig 3.; doi: 10.1186/s12890-015-0048-5. Reproduced under the Creative Commons license https://creativecommons.org/licenses/by/4.0/

Key facts

Product details

HRP Conjugation Kit / HRP Labeling Kit (ab102890) uses a simple and quick process for HRP labeling / conjugation of antibodies. It can also be used to conjugate other proteins or peptides.

To conjugate an antibody to HRP using this kit:
- add modifier to antibody and incubate for 3 hrs
- add quencher and incubate for 30 mins

The HRP conjugated antibody can be used immediately in WB, ELISA, IHC etc. No further purification is required and 100% of the antibody is recovered for use. Learn about buffer compatibility below . Custom size conjugation kits up to 100 mg are available on demand. Please contact us to discuss your requirements.

This product is manufactured by Expedeon, an Abcam company, and was previously called Lightning-Link® HRP Labeling Kit. 701-0004 is the same as the 5 mg size. 701-0003 is the same as the 5 x 1 mg size. 701-0000 is the same as the 3 x 100 ug size. 701-0030 is the same as the 3 x 10 ug size. 701-0010 is the same as the 100 μg size. 701-0002 is the same as the 1 mg size.

Amount and volume of antibody for conjugation to HRP

Kit size Recommended
amount of antibody1
Maximum
amount of antibody
Maximum antibody
volume2
3 x 10 μg 3 x 10 μg 3 x 40 μg 3 x 10 μL
100 μg 1 x 100 μg 1 x 400 μg 1 x 100 μL
3 x 100 μg 3 x 100 μg 3 x 400 μg 3 x 100 μL
1 mg 1 x 1 mg 1 x 4 mg 1 x 1 mL
5 x 1 mg 5 x 1 mg 5 x 4 mg 5 x 1 mL
5 mg 1 x 5 mg 1 x 20 mg 1 x 5 mL

1 Recommended amount of antibody will give an HRP:antibody molar ratio of 4:1. Antibodies often also perform well at the maximum amount of antibody which is 1:1 molar ratio.

2 Ideal antibody concentration is 1mg/ml. 0.5 - 1 mg/ml can be used if the maximum antibody volume is not exceeded. Antibodies > 4 mg/ml or < 0.5 mg/ml should be diluted /concentrated.

Buffer Requirements for Conjugation

Buffer should be pH 6.5-8.5.

Buffer constituent compatibility
If a concentration is shown, then the constituent should be no more than the concentration shown. If several constituents are close to the limit of acceptable concentration, then this can inhibit conjugation.

Compatible buffer constituents
50mM / 0.6% Tris1 0.1% BSA 50% glycerol
0.1% sodium azide2 PBS Potassium phosphate
Sodium chloride HEPES Sucrose
Sodium citrate EDTA Trehalose

1 Tris buffered saline is almost always ≤ 50 mM / 0.6%
2 Sodium azide irreversibly inhibits HRP; antibodies with azide should be purified before using the HRP conjugation kit.

Incompatible buffer constituents
Thiomerosal Proclin Glycine
Arginine Glutathione DTT

If a constituent of the buffer containing your antibody or protein is not listed above, please contact us.

Only purified antibodies are suitable for use, ie. where other proteins, peptides, or amino acids are not present: antibodies in ascites fluid, serum or hybridoma culture media are incompatible.

Storing and handling conjugation kits

Lyophilized Lightning-Link® components are hygroscopic.

Kits are intentionally shipped at ambient temperature with silica gel to avoid exposure to moisture. Upon receipt, store the kit frozen and protect from moisture. Before opening the outer container, allow the lyophilized components to reach room temperature to minimize condensation.

What's included?

{ "values": { "5x1mg": { "sellingSize": "5 x 1 mg", "publicAssetCode":"ab102890-5x1mg", "assetComponentDetails": [ { "size":"1 x 1200 µL", "name":"Modifier reagent", "number":"AB102890-CMP04" }, { "size":"1 x 1200 µL", "name":"Quencher reagent", "number":"AB102890-CMP03" }, { "size":"5 x 1 mg", "name":"HRP mix", "number":"AB102890-CMP02" } ] }, "3x10g": { "sellingSize": "3 x 10 µg", "publicAssetCode":"ab102890-3x10ug", "assetComponentDetails": [ { "size":"1 x 200 µL", "name":"Quencher reagent", "number":"AB102890-CMP03" }, { "size":"1 x 200 µL", "name":"Modifier reagent", "number":"AB102890-CMP04" }, { "size":"3 x 10 µg", "name":"HRP mix", "number":"AB102890-CMP02" } ] }, "3x100g": { "sellingSize": "3 x 100 µg", "publicAssetCode":"ab102890-3x100ug", "assetComponentDetails": [ { "size":"3 x 100 µg", "name":"HRP mix", "number":"AB102890-CMP02" }, { "size":"1 x 200 µL", "name":"Quencher reagent", "number":"AB102890-CMP03" }, { "size":"1 x 200 µL", "name":"Modifier reagent", "number":"AB102890-CMP04" } ] }, "1x5mg": { "sellingSize": "1 x 5 mg", "publicAssetCode":"ab102890-1x5mg", "assetComponentDetails": [ { "size":"1 x 1200 µL", "name":"Modifier reagent", "number":"AB102890-CMP04" }, { "size":"1 x 1200 µL", "name":"Quencher reagent", "number":"AB102890-CMP03" }, { "size":"1 x 5 mg", "name":"HRP mix", "number":"AB102890-CMP02" } ] }, "1mg": { "sellingSize": "1 mg", "publicAssetCode":"ab102890-1mg", "assetComponentDetails": [ { "size":"1 x 200 µL", "name":"Quencher reagent", "number":"AB102890-CMP03" }, { "size":"1 x 1 mg", "name":"HRP mix", "number":"AB102890-CMP02" }, { "size":"1 x 200 µL", "name":"Modifier reagent", "number":"AB102890-CMP04" } ] }, "100g": { "sellingSize": "100 µg", "publicAssetCode":"ab102890-100ug", "assetComponentDetails": [ { "size":"1 x 200 µL", "name":"Modifier reagent", "number":"AB102890-CMP04", "productcode":"" }, { "size":"1 x 100 µg", "name":"HRP mix", "number":"AB102890-CMP02", "productcode":"" }, { "size":"1 x 200 µL", "name":"Quencher reagent", "number":"AB102890-CMP03", "productcode":"" } ] } } }

Properties and storage information

Shipped at conditions
Ambient - Cannot Ship with Ice
Appropriate short-term storage conditions
-20°C
Appropriate long-term storage conditions
-20°C
Storage information
-20°C

Product protocols

Target data

Publications (181)

Recent publications for all applications. Explore the full list and refine your search

Molecular therapy. Nucleic acids 36:102550 PubMed40487351

2025

Nanoparticle-formulated mRNA encoding engineered multivalent SIRPα-Fc fusion proteins shows robust anti-cancer activity in preclinical models.

Applications

Unspecified application

Species

Unspecified reactive species

Shruti Lal,Adrienne Sallets,Srinivasa R Bandi,Gowrisudha Adusumilli,Weiqun Liu,Ray Low,Kimmy Ferry,Chris MacDonough,Mahmoud ElAzzouny,Ole A W Haabeth,Colin J McKinlay,Pei-Ken Hsu,Anushtha Sharma,Pragyesh Dhungel,Jenna Triplett,Meredith Leong,Evan McCartney-Melstad,Samuel Deutsch,Kannan Gunasekaran

Journal of pharmaceutical analysis 14:100995 PubMed39850236

2025

Optical biosensing of monkeypox virus using novel recombinant silica-binding proteins for site-directed antibody immobilization.

Applications

Unspecified application

Species

Unspecified reactive species

Xixi Song,Ying Tao,Sumin Bian,Mohamad Sawan

International journal of molecular sciences 25: PubMed39596245

2024

Optimization of Transcardiac Perfusion for More Accurately Evaluating Biodistribution of Large Molecules.

Applications

Unspecified application

Species

Unspecified reactive species

Zuoxu Xie,Annie Guo,Ekta Kadakia

Scientific reports 14:27685 PubMed39533000

2024

Crucial aspects for maintaining rAAV stability.

Applications

Unspecified application

Species

Unspecified reactive species

Johannes Lengler,Mia Gavrila,Janina Brandis,Kristina Palavra,Felix Dieringer,Sabine Unterthurner,Felix Fuchsberger,Barbara Kraus,Juan A Hernandez Bort

Microbiology spectrum :e0204324 PubMed39436135

2024

Development and optimization of a double antigen sandwich ELISA detecting for Senecavirus A antibodies based on VP2 protein.

Applications

Unspecified application

Species

Unspecified reactive species

Jie Chen,Zhengwang Shi,Juncong Luo,Caixia Jia,Xiaoyang Zhang,Juanjuan Wei,Shuaipeng Li,Yuqian Zhu,Tao Xi,Jing Zhou,Yindi He,Xintai Shi,Huanchen Liao,Hong Tian,Haixue Zheng

Alzheimer's research & therapy 16:209 PubMed39358820

2024

High-affinity antibodies specific to the core region of the tau protein exhibit diagnostic and therapeutic potential for Alzheimer's disease.

Applications

Unspecified application

Species

Unspecified reactive species

Mohammad Arastoo,Lewis K Penny,Richard Lofthouse,Aya Abdallah,Anna Abrahamsson,Pietro Marini,Valeria Melis,Gernot Riedel,Charles R Harrington,Claude M Wischik,Andrew Porter,Soumya Palliyil

Viruses 16: PubMed39339914

2024

Development and Validation of Serotype-Specific Blocking ELISA for the Detection of Anti-FMDV O/A/Asia1/SAT2 Antibodies.

Applications

Unspecified application

Species

Unspecified reactive species

Mohammad A Kashem,Patrycja Sroga,Vivien Salazar,Hamza Amjad,Kate Hole,Janice Koziuk,Ming Yang,Charles Nfon,Shawn Babiuk

mAbs 16:2402701 PubMed39279104

2024

Systematic analysis of Fc mutations designed to reduce binding to Fc-gamma receptors.

Applications

Unspecified application

Species

Unspecified reactive species

Geoff Hale,Jelle De Vos,Alastair Douglas Davy,Koen Sandra,Ian Wilkinson

Nature communications 15:7141 PubMed39164224

2024

CAR T-cell-mediated delivery of bispecific innate immune cell engagers for neuroblastoma.

Applications

Unspecified application

Species

Unspecified reactive species

Guillem Pascual-Pasto,Brendan McIntyre,Margaret G Hines,Anna M Giudice,Laura Garcia-Gerique,Jennifer Hoffmann,Pamela Mishra,Stephanie Matlaga,Simona Lombardi,Rawan Shraim,Patrick M Schürch,Mark Yarmarkovich,Ted J Hofmann,Fatemeh Alikarami,Daniel Martinez,Matthew Tsang,Luis Gil-de-Gómez,Timothy T Spear,Kathrin M Bernt,Adam J Wolpaw,Dimiter S Dimitrov,Wei Li,Kristopher R Bosse

Vaccines 12: PubMed38932406

2024

S2 Peptide-Conjugated SARS-CoV-2 Virus-like Particles Provide Broad Protection against SARS-CoV-2 Variants of Concern.

Applications

Unspecified application

Species

Unspecified reactive species

Chang-Kyu Heo,Won-Hee Lim,Ki-Beom Moon,Jihyun Yang,Sang Jick Kim,Hyun-Soon Kim,Doo-Jin Kim,Eun-Wie Cho
View all publications
websiteProtocolBooklet
en
websiteProtocolBooklet
zh

Product promise

We are committed to supporting your work with high-quality reagents, and we're here for you every step of the way. In the unlikely event that one of our products does not perform as expected, you're protected by our Product Promise.
For full details, please see our Terms & Conditions

Please note: All products are 'FOR RESEARCH USE ONLY. NOT FOR USE IN DIAGNOSTIC OR THERAPEUTIC PROCEDURES'.

For licensing inquiries, please contact partnerships@abcam.com