JavaScript is disabled in your browser. Please enable JavaScript to view this website.
AB241082

Fluo-4 AM, Fluorescent labeling reagent

Be the first to review this product! Submit a review

|

(9 Publications)

Fluo-4 AM (ab241082) is a cell permeable, green fluorescent calcium probe used to study intracellular free calcium concentrations in fluorescence microscopy and flow cytometry.

- Ex/Em: 495/528 nm
- Available in different sizes to fit your experimental needs
1 Images
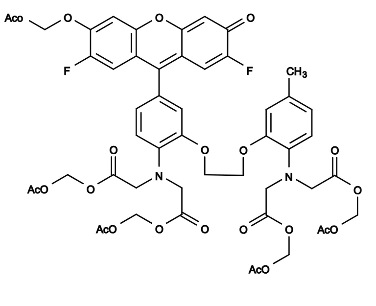
Chemical Structure - Fluo-4 AM, Fluorescent labeling reagent (AB241082)
  • Chemical Structure

Supplier Data

Chemical Structure - Fluo-4 AM, Fluorescent labeling reagent (AB241082)

Chemical structure for Fluo-4 AM *Ultrapure Grade* CAS 273221-67-3

Key facts

Applications

Chemical Structure, Fluorescent Cell Imaging

applications

Target

Fluo-4 am

target

Purity

>98%

Form

Solid

form

Storage buffer

Constituents: 100% Fluo-4 AM

storage-buffer

Reactivity data

{ "title": "Reactivity Data", "filters": { "stats": ["", "Reactivity", "Dilution Info", "Notes"] }, "values": { "Fluorescent Cell Imaging": { "reactivity":"TESTED_AND_REACTS", "dilution-info":"", "notes":"<p></p>" }, "Chemical Structure": { "reactivity":"TESTED_AND_REACTS", "dilution-info":"", "notes":"<p></p>" } } }

Product details

Check out our range of Fluo AM dyes here.

Related Products:
Calcium indicators and ionophores

Protocol:
1. On the day of the experiment, either dissolve Fluo-4 AM in DMSO or thaw an aliquot of the indicator stock solution to room temperature.
2. Prepare a 2 to 20 µM Fluo-4 AM working solution in a buffer of your choice (e.g., Hanks and Hepes buffer) with 0.04% Pluronic® F-127. For most cell lines, Fluo-4 AM at a final concentration of 4-5 μM is recommended. The exact concentration of indicators required for cell loading must be determined empirically.

Properties and storage information

Shipped at conditions
Blue Ice
Appropriate short-term storage conditions
-20°C
Appropriate long-term storage conditions
-20°C
Storage information
Store in the dark|Store under desiccating conditions

Product protocols

Publications (9)

Recent publications for all applications. Explore the full list and refine your search

Nature communications 16:3012 PubMed40148355

2025

Medium from human iPSC-derived primitive macrophages promotes adult cardiomyocyte proliferation and cardiac regeneration.

Applications

Unspecified application

Species

Unspecified reactive species

Yi Xiao,Hao Zhang,Xu Liu,Pengfei Xu,Heng Du,Jiawan Wang,Jianghua Shen,Yujing Li,Yuhan Wang,Chuting He,Haiping Feng,Jingfang Liu,Yanan Zhou,Siqi Liu,Zeyu Gao,Jingyi Zang,Jinmiao Bi,Tie-Shan Tang,Qi Gu,Tuo Wei,Jun Wang,Moshi Song

NPJ Parkinson's disease 10:138 PubMed39069518

2024

Human tripartite cortical network model for temporal assessment of alpha-synuclein aggregation and propagation in Parkinson's Disease.

Applications

Unspecified application

Species

Unspecified reactive species

Fikret Emre Kapucu,Iisa Tujula,Oskari Kulta,Lassi Sukki,Tomi Ryynänen,Hjalte Gram,Valtteri Vuolanto,Andrey Vinogradov,Joose Kreutzer,Poul Henning Jensen,Pasi Kallio,Susanna Narkilahti

Cellular and molecular life sciences : CMLS 81:217 PubMed38748186

2024

Membrane-bound chemoreception of bitter bile acids and peptides is mediated by the same subset of bitter taste receptors.

Applications

Unspecified application

Species

Unspecified reactive species

Silvia Schaefer,Florian Ziegler,Tatjana Lang,Alexandra Steuer,Antonella Di Pizio,Maik Behrens

Biochimica et biophysica acta. Molecular basis of disease 1869:166793 PubMed37336366

2023

Apolipoprotein E ε4 triggers neurotoxicity via cholesterol accumulation, acetylcholine dyshomeostasis, and PKCε mislocalization in cholinergic neuronal cells.

Applications

Unspecified application

Species

Unspecified reactive species

Rebecca Piccarducci,Chiara Giacomelli,Maria Sofia Bertilacchi,Andrea Benito-Martinez,Nicoletta Di Giorgi,Simona Daniele,Giovanni Signore,Silvia Rocchiccioli,Marçal Vilar,Laura Marchetti,Claudia Martini

Cell communication and signaling : CCS 21:132 PubMed37316873

2023

Simultaneous induction of vasculature and neuronal network formation on a chip reveals a dynamic interrelationship between cell types.

Applications

Unspecified application

Species

Unspecified reactive species

Lotta Isosaari,Hanna Vuorenpää,Alma Yrjänäinen,Fikret Emre Kapucu,Minna Kelloniemi,Toni-Karri Pakarinen,Susanna Miettinen,Susanna Narkilahti

Scientific reports 11:23232 PubMed34853378

2021

Therapeutic potential of TRPM8 antagonists in prostate cancer.

Applications

Fluorescent Cell Imaging

Species

Human

Marzia Di Donato,Carmine Ostacolo,Pia Giovannelli,Veronica Di Sarno,Isabel M Gomez Monterrey,Pietro Campiglia,Antimo Migliaccio,Alessia Bertamino,Gabriella Castoria

ACS omega 6:29664-29674 PubMed34778638

2021

New Antagonists of the Membrane Androgen Receptor OXER1 from the ZINC Natural Product Database.

Applications

Unspecified application

Species

Unspecified reactive species

Athanasios A Panagiotopoulos,Konstantina Kalyvianaki,George Notas,Stergios A Pirintsos,Elias Castanas,Marilena Kampa

Molecular metabolism 54:101329 PubMed34454092

2021

An inhibitor-mediated beta-cell dedifferentiation model reveals distinct roles for FoxO1 in glucagon repression and insulin maturation.

Applications

Unspecified application

Species

Unspecified reactive species

Tamara Casteels,Yufeng Zhang,Thomas Frogne,Caterina Sturtzel,Charles-Hugues Lardeau,Ilke Sen,Xiaocheng Liu,Shangyu Hong,Florian M Pauler,Thomas Penz,Marlene Brandstetter,Charlotte Barbieux,Ekaterine Berishvili,Thomas Heuser,Christoph Bock,Christian G Riedel,Dirk Meyer,Martin Distel,Jacob Hecksher-Sørensen,Jin Li,Stefan Kubicek

iScience 24:102535 PubMed34124613

2021

pneumolysin and neuraminidase A convert high-density lipoproteins into pro-atherogenic particles.

Applications

Unspecified application

Species

Unspecified reactive species

Shahan Syed,Eija Nissilä,Hanna Ruhanen,Satoshi Fudo,Meztlli O Gaytán,Sanna P Sihvo,Martina B Lorey,Jari Metso,Katariina Öörni,Samantha J King,Oommen P Oommen,Matti Jauhiainen,Seppo Meri,Reijo Käkelä,Karita Haapasalo
View all publications

Product promise

We are committed to supporting your work with high-quality reagents, and we're here for you every step of the way. In the unlikely event that one of our products does not perform as expected, you're protected by our Product Promise.
For full details, please see our Terms & Conditions

Please note: All products are 'FOR RESEARCH USE ONLY. NOT FOR USE IN DIAGNOSTIC OR THERAPEUTIC PROCEDURES'.

For licensing inquiries, please contact partnerships@abcam.com