JavaScript is disabled in your browser. Please enable JavaScript to view this website.
AB179887

Human Albumin ELISA Kit

3

(1 Review)

|

(18 Publications)

Human Albumin ELISA kit is a single-wash, 90-minute SimpleStep ELISA® used to quantify human and cynomolgus monkey albumin (ALB) with a sensitivity of 0.1 ng/mL. The assay employs a simple Mix-Wash-Read protocol with just one incubation and wash step.

- Colorimetric sandwich ELISA - 450 nm readout, compatible with any standard plate reader
- Different formats for different needs: -384-well format available for high-throughput applications
- Broad sample compatibility – works with serum, plasma (heparin, citrate, EDTA), and cell culture supernatants
- Cited in over 15 publications

View Alternative Names

GIG20, GIG42, PRO0903, PRO1708, PRO2044, PRO2619, PRO2675, UNQ696/PRO1341, ALB, Albumin

10 Images
Sandwich ELISA - Human Albumin ELISA Kit (AB179887)
  • sELISA

Lab

Sandwich ELISA - Human Albumin ELISA Kit (AB179887)

SimpleStep ELISA technology allows the formation of the antibody-antigen complex in one single step, reducing assay time to 90 minutes. Add samples or standards and antibody mix to wells all at once, incubate, wash, and add your final substrate. See protocol for a detailed step-by-step guide.

Sandwich ELISA - Human Albumin ELISA Kit (AB179887)
  • sELISA

Lab

Sandwich ELISA - Human Albumin ELISA Kit (AB179887)

Example of human Albumin standard curve in 96-well vs. 384-well plate. Background-subtracted data values (mean +/- SD) are graphed.

Sandwich ELISA - Human Albumin ELISA Kit (AB179887)
  • sELISA

Lab

Sandwich ELISA - Human Albumin ELISA Kit (AB179887)

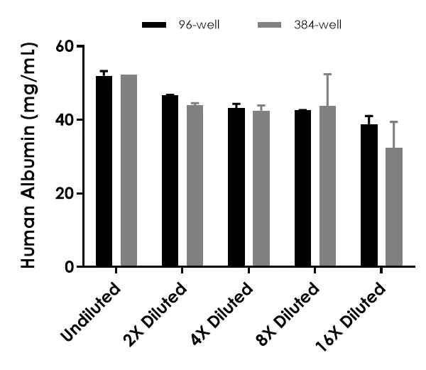
Interpolated concentration of native Albumin was measured in duplicate at different sample concentrations in 96-well vs. 384-well plates. Undiluted samples are human serum 1 : 1,000,000. The interpolated dilution factor corrected values (to neat) are plotted (mean +/- SD, n=2). Sample dilutions are made in Sample Diluent NS.

Sandwich ELISA - Human Albumin ELISA Kit (AB179887)
  • sELISA

Supplier Data

Sandwich ELISA - Human Albumin ELISA Kit (AB179887)

Example of human Albumin standard curve in Sample Diluent NS. The Albumin standard curve was prepared as described. Raw data values are shown in the table. Background-subtracted data values (mean +/- SD) are graphed.

Sandwich ELISA - Human Albumin ELISA Kit (AB179887)
  • sELISA

Supplier Data

Sandwich ELISA - Human Albumin ELISA Kit (AB179887)

Interpolated concentrations of native Albumin in human serum, plasma and cell culture supernatant samples.

The concentrations of Albumin were measured in duplicates, interpolated from the Albumin standard curves and corrected for sample dilution. Undiluted samples are as follows : serum 1 : 4,000,000, plasma (EDTA) 1 : 4,000,000, plasma (citrate) 1 : 8,000,000, and plasma (heparin) 1 : 8,000,000. The interpolated dilution factor corrected values are plotted (mean +/- SD, n=2). The mean Albumin concentration was determined to be 31.5 mg/mL in serum, 75.4 mg/mL in plasma (EDTA), 35.5 mg/mL in plasma (citrate) and 41.3 mg/mL in plasma (heparin).

Sandwich ELISA - Human Albumin ELISA Kit (AB179887)
  • sELISA

Supplier Data

Sandwich ELISA - Human Albumin ELISA Kit (AB179887)

Human Albumin standard curve comparison.

Standard Curve comparison between the original human Albumin SimpleStep ELISA kit current human Albumin SimpleStep ELISA kit.

Sandwich ELISA - Human Albumin ELISA Kit (AB179887)
  • sELISA

Supplier Data

Sandwich ELISA - Human Albumin ELISA Kit (AB179887)

Linearity of dilution for spiked albumin.

Linearity of dilution is determined based on interpolated values from the standard curve. Linearity of dilution defines a sample concentration interval in which interpolated target concentrations are directly proportional to sample dilution.

Spiked Albumin was measured in the following biological samples in a 2-fold dilution series. Sample dilutions are made in Sample Diluent NS.

Sandwich ELISA - Human Albumin ELISA Kit (AB179887)
  • sELISA

Supplier Data

Sandwich ELISA - Human Albumin ELISA Kit (AB179887)

Linearity of dilution for albumin.

Linearity of dilution is determined based on interpolated values from the standard curve. Linearity of dilution defines a sample concentration interval in which interpolated target concentrations are directly proportional to sample dilution.

Native Albumin was measured in the following biological samples in a 2-fold dilution series. Sample dilutions are made in Sample Diluent NS.

Sandwich ELISA - Human Albumin ELISA Kit (AB179887)
  • sELISA

Supplier Data

Sandwich ELISA - Human Albumin ELISA Kit (AB179887)

Serum from eight individual healthy human female donors was measured in duplicate.

Interpolated dilution factor corrected values are plotted (mean +/- SD, n=2). The mean Albumin concentration was determined to be 23.4 mg/mL with a range of 10.5 – 37.1 mg/mL.

Sandwich ELISA - Human Albumin ELISA Kit (AB179887)
  • sELISA

Supplier Data

Sandwich ELISA - Human Albumin ELISA Kit (AB179887)

Standard curve

Background-subtracted data values (mean +/- SD) are graphed.

Key facts

Detection method

Colorimetric

Sample types

Heparin Plasma, Citrate plasma, Cell culture supernatant, Serum, EDTA Plasma

Reacts with

Cynomolgus monkey, Human

Assay type

Sandwich (quantitative)

Sensitivity

= 0.1 ng/mL

Range

0.7 - 45 ng/mL

Assay time

1h 30m

Assay Platform

Microplate

Reactivity data

{ "title": "Reactivity Data", "filters": { "stats": ["", "Reactivity", "Dilution Info", "Notes"] }, "values": { "sELISA": { "reactivity":"TESTED_AND_REACTS", "dilution-info":"", "notes":"<p></p>" } } }

You may be interested in:

AB244051

Human Albumin Antibody Pair - BSA and Azide free

0

0 Reviews

View product

We recommend this product because it’s often used in the same experiment or related research.

We advise that you always check the datasheet to ensure it fits your experiments, or contact ourtechnical teamfor help.

Product details

Human Albumin ELISA Kit ab179887 is a rapid single-wash 90-min ELISA kit to measure Human Albumin in cell culture supernatant, serum, plasma. This SimpleStep ELISA® sensitivity is 0.1 ng/mL.

How the assay works

Human Albumin SimpleStep ELISA® employs capture antibodies conjugated to an affinity tag that is recognized by the monoclonal antibody used to coat our SimpleStep ELISA® plates. This approach to sandwich ELISA allows the formation of the antibody-analyte sandwich complex in a single step, significantly reducing assay time. See the SimpleStep ELISA® protocol summary in the image section for further details.

Assay Specificity

This kit recognizes native human Albumin protein (hsa) in serum, plasma, and cell culture supernatant samples only. Urine, saliva, cell and tissue extract samples have not been tested with this kit.

Human Albumin ELISA Kit ab179887 protocol summary:

1. Mix: add samples/standards to the wells together with the capture and detector antibody cocktail. Incubate for 1 hr at room temperature
2. Wash
3. Add TMB development solution - incubate for 10 min
4. Add stop solution
5. Read the results on a plate reader at 450nm

How other researchers are using Human Albumin ELISA kit ab179887

The Human Alb ELISA kit has been used in publications for the assessment of liver function in the construction of liver organoids or spheroids(1)(2) and for the assessment of Drug Induced Liver Toxicity (DILI)(3)(4)

References:

(1)Shuo Bai et al. 2023, PMID: 37199010,
(2)Taniguchi H et al. 2023 PMID: 37108241,
(3)Levner D et al. 2022, PMID: 36473994,
(4)Ronxhi et al. 2022, PMID: 35790095

Save your precious samples

Our 384-well Human Albumin ELISA Kit only requires a maxmum of 12.5µL

Design your own immunoassay

We offer the antibody pair used in this kit in a BSA and Azide-free format, ready for conjugation

- Human Albumin Antibody Pair - BSA and Azide free ab244051
- Anti-Albumin antibody [EPR20195-105] - BSA and Azide free (Capture) ab244696
- Anti-Albumin antibody [EPR20195-16] - BSA and Azide free (Detector) ab244962

Related and recommended products

Human Albumin ELISA kit ab179887 is commonly used by researchers to measure liver or kidney function.

Liver function ELISA assays include Human ALT ELISA kit ab234578 and Human AST ELISA Kit ab263881

These ELISA kits are also available for Mouse/Rat:
- Mouse Albumin ELISA kit ab207620
- Mouse ALT ELISA kit ab282882
- Mouse AST ELISA kit ab263882
- Rat Albumin ELISA kit ab235642
- Rat ALT ELISA kit ab234579
- Rat AST ELISA kit ab263883

Kidney function marker assays include:
- Creatinine Assay Kit ab65340 – suitable for use as a serum creatinine assay and a urine creatinine assay.
- Albumin (BCG) Assay Kit (Colorimetric) ab235628 – suitable for use with serum
- Urea Assay Kit ab83362 – suitable for use with serum/plasma and urine, and used as a blood urea nitrogen assay.

Precision

[ { "reproducibilityType": "Inter", "sample": "Serum", "replicates": 3, "mean": null, "standardDeviation": null, "coefficientOfVariability": "7.6" }, { "reproducibilityType": "Intra", "sample": "Serum", "replicates": 8, "mean": null, "standardDeviation": null, "coefficientOfVariability": "5.2" } ]

Recovery

[ { "sample": "Cell culture supernatant", "range": "104 - 105 %", "average": "= 104" }, { "sample": "Serum", "range": "92 - 110 %", "average": "= 100" }, { "sample": "EDTA Plasma", "range": "97 - 109 %", "average": "= 104" }, { "sample": "Heparin Plasma", "range": "89 - 105 %", "average": "= 98" }, { "sample": "Citrate plasma", "range": "100 - 103 %", "average": "= 101" } ]

What's included?

{ "values": { "1x384Tests": { "sellingSize": "1 x 384 Tests", "publicAssetCode":"ab179887-1x384Tests", "assetComponentDetails": [ { "size":"2 x 12 mL", "name":"Stop Solution", "number":"AB179887-CMP05" }, { "size":"2 x 20 mL", "name":"10X Wash Buffer PT (ab206977)", "number":"AB179887-CMP10" }, { "size":"1 x 250 mL", "name":"Sample Diluent NS (ab193972)", "number":"AB179887-CMP03" }, { "size":"1 x 6 mL", "name":"Antibody Diluent 4BI", "number":"AB179887-CMP08" }, { "size":"2 x 1 Vial", "name":"Native Human Serum Albumin protein (Lyophilized) (ab205808)", "number":"AB179887-CMP07" }, { "size":"1 x 600 µL", "name":"10X Human Albumin Capture Antibody", "number":"AB179887-CMP01" }, { "size":"1 x 1 Unit", "name":"384 well CaptSure™ microplates", "number":"AB179887-CMP11" }, { "size":"1 x 1 Unit", "name":"Plate Seals", "number":"AB179887-CMP09" }, { "size":"1 x 600 µL", "name":"10X Human Albumin Detector Antibody", "number":"AB179887-CMP02" }, { "size":"2 x 12 mL", "name":"TMB Development Solution", "number":"AB179887-CMP06" } ] }, "1x96Tests": { "sellingSize": "1 x 96 Tests", "publicAssetCode":"ab179887-1x96Tests", "assetComponentDetails": [ { "size":"1 x 12 mL", "name":"Stop Solution", "number":"AB179887-CMP05", "productcode":"" }, { "size":"1 x 20 mL", "name":"10X Wash Buffer PT (ab206977)", "number":"AB179887-CMP10", "productcode":"" }, { "size":"2 x 50 mL", "name":"Sample Diluent NS (ab193972)", "number":"AB179887-CMP03", "productcode":"" }, { "size":"1 x 12 mL", "name":"TMB Development Solution", "number":"AB179887-CMP06", "productcode":"" }, { "size":"1 x 1 Unit", "name":"Plate Seals", "number":"AB179887-CMP09", "productcode":"" }, { "size":"2 x 1 Vial", "name":"Native Human Serum Albumin protein (Lyophilized) (ab205808)", "number":"AB179887-CMP07", "productcode":"" }, { "size":"1 x 6 mL", "name":"Antibody Diluent 4BI", "number":"AB179887-CMP08", "productcode":"" }, { "size":"1 x 600 µL", "name":"10X Human Albumin Capture Antibody", "number":"AB179887-CMP01", "productcode":"" }, { "size":"1 x 600 µL", "name":"10X Human Albumin Detector Antibody", "number":"AB179887-CMP02", "productcode":"" }, { "size":"1 x 1 Unit", "name":"SimpleStep Pre-Coated 96-Well Microplate (ab206978)", "number":"AB179887-CMP04", "productcode":"" } ] } } }

Properties and storage information

Shipped at conditions
Blue Ice
Appropriate short-term storage conditions
+4°C
Appropriate long-term storage conditions
+4°C
Storage information
+4°C

Supplementary information

This supplementary information is collated from multiple sources and compiled automatically.

Albumin often referred to as serum albumin is a major protein in the bloodstream known for its role in maintaining osmotic pressure and transporting various molecules. It has a molecular mass of approximately 66.5 kDa. Synthesized in the liver albumin can be found throughout the body in the circulatory system. Besides its primary location in human plasma variants such as mouse serum albumin can be studied in animal models providing insight into albumin's function across species.
Biological function summary

Albumin carries out essential tasks like transporting substances such as hormones vitamins and drugs due to its high binding capacity. It serves as a vital protein for maintaining blood pH balance. Albumin does not function as part of a larger protein complex but acts independently to bind and transport various ligands thereby playing a role in removing free radicals and offering antioxidative protection.

Pathways

The transport and regulatory functions of albumin integrate into key biological systems like the Renin-Angiotensin System and drug metabolism pathways. Within these pathways albumin interacts with enzymes and other proteins facilitating drug distribution and metabolism. Its binding abilities allow it to modulate the bioavailability of active compounds acting in concert with proteins like globulins that also play roles in transporting biomolecules.

Low levels of albumin a condition known as hypoalbuminemia associate with liver diseases such as cirrhosis and chronic kidney disease impacting the body's ability to maintain fluid and electrolyte balance. Albumin's interaction with proteins like globulin can alter in these conditions affecting protein binding capacity and exacerbating disease symptoms. Tools like the albumin ELISA kit and albumin BCG assay facilitate the measurement of albumin levels in clinical diagnostics and research aiding in disease detection and monitoring.

Product protocols

For this product, it's our understanding that no specific protocols are required. You can visit:

Target data

Binds water, Ca(2+), Na(+), K(+), fatty acids, hormones, bilirubin and drugs (Probable). Its main function is the regulation of the colloidal osmotic pressure of blood (Probable). Major zinc transporter in plasma, typically binds about 80% of all plasma zinc (PubMed : 19021548). Major calcium and magnesium transporter in plasma, binds approximately 45% of circulating calcium and magnesium in plasma (By similarity). Potentially has more than two calcium-binding sites and might additionally bind calcium in a non-specific manner (By similarity). The shared binding site between zinc and calcium at residue Asp-273 suggests a crosstalk between zinc and calcium transport in the blood (By similarity). The rank order of affinity is zinc > calcium > magnesium (By similarity). Binds to the bacterial siderophore enterobactin and inhibits enterobactin-mediated iron uptake of E.coli from ferric transferrin, and may thereby limit the utilization of iron and growth of enteric bacteria such as E.coli (PubMed : 6234017). Does not prevent iron uptake by the bacterial siderophore aerobactin (PubMed : 6234017).
See full target information ALB

Publications (18)

Recent publications for all applications. Explore the full list and refine your search

Cell proliferation 56:e13465 PubMed37199010

2023

In vitro construction of liver organoids with biomimetic lobule structure by a multicellular 3D bioprinting strategy.

Applications

Unspecified application

Species

Unspecified reactive species

Honglei Jian,Xin Li,Qianqian Dong,Shaonan Tian,Shuo Bai

International journal of molecular sciences 24: PubMed37108241

2023

PDGF Receptors and Signaling Are Required for 3D-Structure Formation and Differentiation of Human iPSC-Derived Hepatic Spheroids.

Applications

Unspecified application

Species

Unspecified reactive species

Syusaku Tsuzuki,Tomoyuki Yamaguchi,Takashi Okumura,Toshiharu Kasai,Yasuharu Ueno,Hideki Taniguchi

Communications medicine 2:154 PubMed36473994

2022

Performance assessment and economic analysis of a human Liver-Chip for predictive toxicology.

Applications

Unspecified application

Species

Unspecified reactive species

Lorna Ewart,Athanasia Apostolou,Skyler A Briggs,Christopher V Carman,Jake T Chaff,Anthony R Heng,Sushma Jadalannagari,Jeshina Janardhanan,Kyung-Jin Jang,Sannidhi R Joshipura,Mahika M Kadam,Marianne Kanellias,Ville J Kujala,Gauri Kulkarni,Christopher Y Le,Carolina Lucchesi,Dimitris V Manatakis,Kairav K Maniar,Meaghan E Quinn,Joseph S Ravan,Ann Catherine Rizos,John F K Sauld,Josiah D Sliz,William Tien-Street,Dennis Ramos Trinidad,James Velez,Max Wendell,Onyi Irrechukwu,Prathap Kumar Mahalingaiah,Donald E Ingber,Jack W Scannell,Daniel Levner

Bioengineering (Basel, Switzerland) 9: PubMed36354514

2022

Indirect 3D Bioprinting of a Robust Trilobular Hepatic Construct with Decellularized Liver Matrix Hydrogel.

Applications

Unspecified application

Species

Unspecified reactive species

Vamakshi Khati,Johannes Artturi Turkki,Harisha Ramachandraiah,Falguni Pati,Giulia Gaudenzi,Aman Russom

Biosensors 12: PubMed35884324

2022

3D Bioprinting of Multi-Material Decellularized Liver Matrix Hydrogel at Physiological Temperatures.

Applications

Unspecified application

Species

Unspecified reactive species

Vamakshi Khati,Harisha Ramachandraiah,Falguni Pati,Helene A Svahn,Giulia Gaudenzi,Aman Russom

Current protocols 2:e478 PubMed35790095

2022

Co-Culture of Human Primary Hepatocytes and Nonparenchymal Liver Cells in the Emulate® Liver-Chip for the Study of Drug-Induced Liver Injury.

Applications

Unspecified application

Species

Unspecified reactive species

Qiang Shi,Ayesha Arefin,Lijun Ren,Katy S Papineau,Dustyn A Barnette,Laura K Schnackenberg,Jessica J Hawes,Mark Avigan,Donna L Mendrick,Lorna Ewart,Janey Ronxhi

Scientific reports 12:5155 PubMed35338220

2022

In vitro culture at 39 °C during hepatic maturation of human ES cells facilitates hepatocyte-like cell functions.

Applications

Unspecified application

Species

Unspecified reactive species

Satoshi Imamura,Koki Yoshimoto,Shiho Terada,Kaho Takamuro,Ken-Ichiro Kamei

Life (Basel, Switzerland) 12: PubMed35207423

2022

Study of the Anticancer Potential of Plant Extracts Using Liver Tumor Microphysiological System.

Applications

Unspecified application

Species

Unspecified reactive species

Hafiz Muhammad Umer Farooqi,Anupamma Sammantasinghar,Farzana Kausar,Muhammad Awais Farooqi,Abdul Rahim Chethikkattuveli Salih,Kinam Hyun,Jong-Hwan Lim,Atif Ali Khan Khalil,Abdul Samad Mumtaz,Kyung Hyun Choi

Cell reports 36:109393 PubMed34289365

2021

Modeling alcohol-associated liver disease in a human Liver-Chip.

Applications

Unspecified application

Species

Unspecified reactive species

Janna C Nawroth,Debora B Petropolis,Dimitris V Manatakis,Tengku Ibrahim Maulana,Gabriel Burchett,Katharina Schlünder,Anke Witt,Abhishek Shukla,Konstantia Kodella,Janey Ronxhi,Gauri Kulkarni,Geraldine Hamilton,Ekihiro Seki,Shelly Lu,Katia C Karalis

Frontiers in pharmacology 12:656115 PubMed34276360

2021

Network Pharmacological Analysis and Experimental Validation of the Mechanisms of Action of Si-Ni-San Against Liver Fibrosis.

Applications

Unspecified application

Species

Unspecified reactive species

Siliang Wang,Cheng Tang,Heng Zhao,Peiliang Shen,Chao Lin,Yun Zhu,Dan Han
View all publications

Product promise

We are committed to supporting your work with high-quality reagents, and we're here for you every step of the way. In the unlikely event that one of our products does not perform as expected, you're protected by our Product Promise.
For full details, please see our Terms & Conditions
websiteProtocolBooklet
en

Associated Products

Select an associated product type
Alternative Product
Assay Kits

AB108787

Human Albumin ELISA Kit

elisa-kits

human-albumin-elisa-kit-ab108787

0

(0 reviews)

Alternative Product
Assay Kits

AB108788

Human Albumin ELISA Kit

elisa-kits

human-albumin-elisa-kit-ab108788

5

(2 reviews)

Alternative Product
Assay Kits

AB229386

Human Albumin ELISA Kit, Fluorescent

elisa-kits

human-albumin-elisa-kit-fluorescent-ab229386

0

(0 reviews)

Alternative Product
Assay Kits

AB227933

Human Albumin ELISA Kit

elisa-kits

human-albumin-elisa-kit-ab227933

5

(1 reviews)

Please note: All products are 'FOR RESEARCH USE ONLY. NOT FOR USE IN DIAGNOSTIC OR THERAPEUTIC PROCEDURES'.

For licensing inquiries, please contact partnerships@abcam.com