JavaScript is disabled in your browser. Please enable JavaScript to view this website.
AB233630

Mouse Tissue kallikrein ELISA Kit

Be the first to review this product! Submit a review

|

(0 Publication)

Mouse Tissue kallikrein ELISA Kit is a single-wash 90-min Simplestep used to quantify Mouse Tissue kallikrein with a sensitivity of 4.2 pg/ml. The assay uses a simple mix-wash-read protocol with just one incubation and one wash step.

- Colorimetric Sandwich ELISA - 450 nm readout : works on any standard plate reader
- Design your own immunoassay: we also offer the conjugation-ready antibody pair

View Alternative Names

Klk-6, Klk6, Klk1, Kallikrein-1, Glandular kallikrein K1, KAL-B, Renal kallikrein, Tissue kallikrein-6, mGK-6

4 Images
Sandwich ELISA - Mouse Tissue kallikrein ELISA Kit (AB233630)
  • sELISA

Supplier Data

Sandwich ELISA - Mouse Tissue kallikrein ELISA Kit (AB233630)

Representative image of Mouse Tissue kallikrein ELISA Kit (ab233630)

Components shown from left to right :

- 10X Wash Buffer PT (ab206977)

- 10X Mouse Tissue kallikrein ELISA Kit Capture Antibody

- 10X Mouse Tissue kallikrein Detector Antibody

- 10X Mouse Tissue kallikrein ELISA Kit Lyophilised Purified Protein (2 vials)

- Mouse Tissue kallikrein ELISA Kit 50X Cell Extraction Enhancer Solution (ab193971)

- Sample diluent NS

- TMB solution

- Stop Solution

- 5X Cell Extraction Buffer PTR (ab193970)

- Antibody Diluent 4BR

SimpleStep Pre-Coated 96-Well Microplate (ab206978) - shown behind bottles / vials.

Plate Seals - shown underneath bottles / vials.

Note : The vial labels shown in this image use generic names for illustrative purposes only and may not exactly match the specific component names included in the ELISA kit.

Note : Colors of solutions in image may not precisely match the shade of colors in the actual kit

Sandwich ELISA - Mouse Tissue kallikrein ELISA Kit (AB233630)
  • sELISA

Supplier Data

Sandwich ELISA - Mouse Tissue kallikrein ELISA Kit (AB233630)

Example of mouse KLK1 standard curve in 1X Cell Extraction Buffer PTR.

Background-subtracted data values (mean +/- SD) are graphed.

Sandwich ELISA - Mouse Tissue kallikrein ELISA Kit (AB233630)
  • sELISA

Supplier Data

Sandwich ELISA - Mouse Tissue kallikrein ELISA Kit (AB233630)

Interpolated concentrations of native KLK1 in mouse pancreas supernatant based on a 0.03125% extract load.

The concentrations of KLK1 were measured in duplicate and interpolated from the KLK1 standard curve and corrected for sample dilution. The interpolated dilution factor corrected values are plotted (mean +/- SD, n=2). The mean KLK1 concentration was determined to be 129,659 pg/mL in mouse pancreas supernatant sample.

Sandwich ELISA - Mouse Tissue kallikrein ELISA Kit (AB233630)
  • sELISA

Supplier Data

Sandwich ELISA - Mouse Tissue kallikrein ELISA Kit (AB233630)

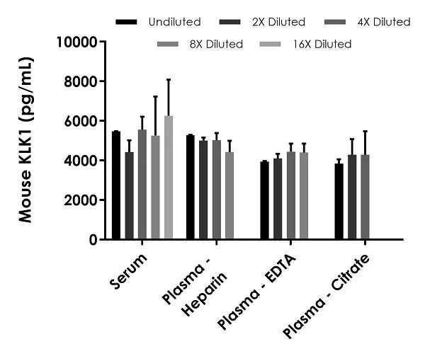
Interpolated concentrations of native KLK1 in mouse serum and plasma samples.

The concentrations of KLK1 were measured in duplicates, interpolated from the KLK1 standard curves and corrected for sample dilution. Undiluted samples are as follows : serum 1%, plasma (heparin) 0.03125%, plasma (EDTA) 0.5%, and plasma (citrate) 0.25%. The interpolated dilution factor corrected values are plotted (mean +/- SD, n=2). The mean KLK1 concentration was determined to be 5,392 pg/mL in serum, 4,932 pg/mL in plasma (heparin), 4,226 pg/mL in plasma (EDTA), and 4,138 pg/mL in plasma (citrate).

Key facts

Detection method

Colorimetric

Sample types

Tissue, Heparin Plasma, Citrate plasma, Serum, EDTA Plasma

Reacts with

Mouse

Assay type

Sandwich (quantitative)

Sensitivity

= 4.2 pg/mL

Range

12.5 - 800 pg/mL

Assay time

1h 30m

Assay Platform

Pre-coated microplate (12 x 8 well strips)

Reactivity data

{ "title": "Reactivity Data", "filters": { "stats": ["", "Reactivity", "Dilution Info", "Notes"] }, "values": { "sELISA": { "reactivity":"TESTED_AND_REACTS", "dilution-info":"", "notes":"<p></p>" } } }

Product details

Mouse Tissue kallikrein ELISA Kit (ab233630) is a single-wash 90 min sandwich ELISA designed for the quantitative measurement of Tissue kallikrein protein in edta plasma, hep plasma, serum, tissue, and cit plasma. It uses our proprietary SimpleStep ELISA® technology. Quantitate Mouse Tissue kallikrein with 4.2 pg/ml sensitivity.

SimpleStep ELISA® technology employs capture antibodies conjugated to an affinity tag that is recognized by the monoclonal antibody used to coat our SimpleStep ELISA® plates. This approach to sandwich ELISA allows the formation of the antibody-analyte sandwich complex in a single step, significantly reducing assay time. See the SimpleStep ELISA® protocol summary in the image section for further details. Our SimpleStep ELISA® technology provides several benefits:

- Single-wash protocol reduces assay time to 90 minutes or less
- High sensitivity, specificity and reproducibility from superior antibodies
- Fully validated in biological samples
- 96-wells plate breakable into 12 x 8 wells strips

A 384-well SimpleStep ELISA® microplate (ab203359) is available to use as an alternative to the 96-well microplate provided with SimpleStep ELISA® kits.

REACH authorisation
Abcam has not and does not intend to apply for the REACH Authorisation of customers' uses of products that contain European Authorisation list (Annex XIV) substances.
It is the responsibility of our customers to check the necessity of application of REACH Authorisation, and any other relevant authorisations, for their intended uses.

Precision

[ { "reproducibilityType": "Intra", "sample": "Serum", "replicates": 8, "mean": null, "standardDeviation": null, "coefficientOfVariability": "7" } ]

Recovery

[ { "sample": "Serum", "range": null, "average": "= 84" }, { "sample": "EDTA Plasma", "range": null, "average": "= 94" }, { "sample": "Tissue", "range": null, "average": "= 101" }, { "sample": "Heparin Plasma", "range": null, "average": "= 85" }, { "sample": "Citrate plasma", "range": null, "average": "= 84" } ]

What's included?

{ "values": { "1x96Tests": { "sellingSize": "1 x 96 Tests", "publicAssetCode":"ab233630-1x96Tests", "assetComponentDetails": [ { "size":"1 x 12 mL", "name":"Stop Solution", "number":"AB233630-CMP04", "productcode":"" }, { "size":"1 x 20 mL", "name":"10X Wash Buffer PT (ab206977)", "number":"AB233630-CMP12", "productcode":"" }, { "size":"1 x 1 mL", "name":"50X Cell Extraction Enhancer Solution (ab193971)", "number":"AB233630-CMP06", "productcode":"" }, { "size":"1 x 12 mL", "name":"Sample Diluent NS (ab193972)", "number":"AB233630-CMP13", "productcode":"" }, { "size":"1 x 12 mL", "name":"TMB Development Solution", "number":"AB233630-CMP05", "productcode":"" }, { "size":"1 x 1 Unit", "name":"Plate Seals", "number":"AB233630-CMP11", "productcode":"" }, { "size":"2 x 1 Vial", "name":"Mouse Tissue kallikrein Lyophilized Recombinant Protein", "number":"AB233630-CMP10", "productcode":"" }, { "size":"1 x 6 mL", "name":"Antibody Diluent 4BR", "number":"AB233630-CMP01", "productcode":"" }, { "size":"1 x 600 µL", "name":"10X Mouse Tissue kallikrein Capture Antibody", "number":"AB233630-CMP08", "productcode":"" }, { "size":"1 x 600 µL", "name":"10X Mouse Tissue kallikrein Detector Antibody", "number":"AB233630-CMP09", "productcode":"" }, { "size":"1 x 10 mL", "name":"5X Cell Extraction Buffer PTR (ab193970)", "number":"AB233630-CMP07", "productcode":"" }, { "size":"1 x 1 Unit", "name":"SimpleStep Pre-Coated 96-Well Microplate (ab206978)", "number":"AB233630-CMP03", "productcode":"" } ] } } }

Properties and storage information

Shipped at conditions
Blue Ice
Appropriate short-term storage conditions
+4°C
Appropriate long-term storage conditions
+4°C
Storage information
+4°C

Supplementary information

This supplementary information is collated from multiple sources and compiled automatically.

Tissue kallikrein also known as KLK1 is a serine protease enzyme that plays an important role in the cleavage of kininogen to produce kinins. This enzyme with a molecular weight of approximately 30 kDa exists in various tissues like the kidney pancreas and salivary glands. The protein is part of the kallikrein family and is expressed prominently in these areas. You can commonly measure its levels through ELISA assays labeled "kallikrein ELISA" or specific assays like the "kallikrein 3 ELISA."
Biological function summary

Tissue kallikrein contributes to vasodilation and blood pressure regulation by producing bradykinin a peptide with strong vasodilator properties. It does not function alone but may interact with other enzymes to amplify its effect. Tissue kallikrein belongs to a larger family of kallikrein-related peptidases which perform various physiological roles adding complexity to its functional network within the human body.

Pathways

This enzyme participates extensively in the kallikrein-kinin system. A significant interaction happens within the renin-angiotensin-aldosterone system contributing to blood pressure regulation fluid balance and cardiovascular function. It engages with related proteins such as kininogen and bradykinin establishing important checkpoints within these pathways.

Abnormalities in tissue kallikrein regulation link to hypertension and inflammatory diseases like rheumatoid arthritis. Dysregulation may alter interactions with proteins like kininogen leading to altered inflammatory responses or blood pressure issues. Understanding these relationships can inform therapeutic strategies targeting the kallikrein-kinin system for improved disease management.

Product protocols

Target data

Glandular kallikreins cleave Met-Lys and Arg-Ser bonds in kininogen to release Lys-bradykinin.
See full target information Klk1
websiteProtocolBooklet
en

Product promise

We are committed to supporting your work with high-quality reagents, and we're here for you every step of the way. In the unlikely event that one of our products does not perform as expected, you're protected by our Product Promise.
For full details, please see our Terms & Conditions

Please note: All products are 'FOR RESEARCH USE ONLY. NOT FOR USE IN DIAGNOSTIC OR THERAPEUTIC PROCEDURES'.

For licensing inquiries, please contact partnerships@abcam.com