JavaScript is disabled in your browser. Please enable JavaScript to view this website.
AB287826

Vitamin B12 ELISA Kit

Be the first to review this product! Submit a review

|

(0 Publication)

Vitamin B12 ELISA Kit is a competitive ELISA designed to quantify Vitamin B12 with a sensitivity of 25 pg/mL

- Colorimetric competitive ELISA - 450 nm readout - works on any plate reader
- Wide dynamic range - quantifies 50 - 500 pg/ml

View Alternative Names

Alpha (5 6 Dimethylbenzimidazolyl)cyanocobamide, Cyanocobalamin

1 Images
Functional Studies - Vitamin B12 ELISA Kit (AB287826)
  • FuncS

Supplier Data

Functional Studies - Vitamin B12 ELISA Kit (AB287826)

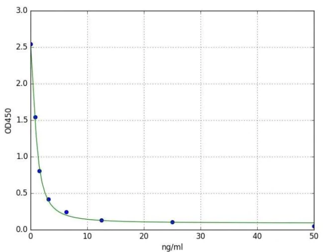
Vitamin B12 ELISA Kit.

Typical standard curve using ab287826. For reference use only. A standard curve should be run with each assay.

Key facts

Detection method

Colorimetric

Sample types

Plasma, Tissue Homogenate, Serum, Other biological fluids

Assay type

Competitive

Sensitivity

< 25 pg/mL

Range

50 - 500 pg/mL

Assay Platform

Microplate (12 x 8 well strips)

Reactivity data

{ "title": "Reactivity Data", "filters": { "stats": ["", "Reactivity", "Dilution Info", "Notes"] }, "values": { "cELISA": { "reactivity":"TESTED_AND_REACTS", "dilution-info":"", "notes":"<p></p>" } } }

Product details

This Vitamin B12 ELISA kit ab287826 (previously known as Vitamin B12 ELISA kit, E4638) is a competitive ELISA assay for the quantitative measurement of Vit-B12 in serum, plasma and cell culture supernatants. The density of color is proportional to the amount of Vit-B12 captured from the samples.

This product is manufactured by BioVision, an Abcam company and was previously called E4638 Vitamin B12 (Vit-B12) ELISA Kit. E4638-100 is the same size as the 96 test size of ab287826.

Precision

[ { "reproducibilityType": "Inter", "sample": "Overall", "replicates": 0, "mean": null, "standardDeviation": null, "coefficientOfVariability": "< 10" }, { "reproducibilityType": "Intra", "sample": "Overall", "replicates": 0, "mean": null, "standardDeviation": null, "coefficientOfVariability": "< 8" } ]

Recovery

[ { "sample": "Serum", "range": "86 - 105 %", "average": "= 94" }, { "sample": "EDTA Plasma", "range": "92 - 105 %", "average": "= 98" }, { "sample": "Heparin Plasma", "range": "85 - 99 %", "average": "= 93" } ]

What's included?

{ "values": { "96Test": { "sellingSize": "96 Test", "publicAssetCode":"ab287826-96Test", "assetComponentDetails": [ { "size":"1 x 10 mL", "name":"SABC dilution buffer", "number":"AB287826-CMP05", "productcode":"" }, { "size":"1 x 120 µL", "name":"HRP-Streptavidin Conjugate (SABC)", "number":"AB287826-CMP09", "productcode":"" }, { "size":"1 x 30 mL", "name":"25X Wash buffer", "number":"AB287826-CMP11", "productcode":"" }, { "size":"1 x 20 mL", "name":"Sample and Standard Dilution Buffer", "number":"AB287826-CMP08", "productcode":"" }, { "size":"5 x 1 Unit", "name":"Plate Sealer", "number":"AB287826-CMP04", "productcode":"" }, { "size":"1 x 10 mL", "name":"Antibody dilution buffer", "number":"AB287826-CMP01", "productcode":"" }, { "size":"1 x 1 Unit", "name":"Micro ELISA Plate", "number":"AB287826-CMP03", "productcode":"" }, { "size":"1 x 10 mL", "name":"TMB Substrate", "number":"AB287826-CMP10", "productcode":"" }, { "size":"2 x 1 Vial", "name":"Lyophilized Standard", "number":"AB287826-CMP06", "productcode":"" }, { "size":"1 x 10 mL", "name":"Stop Solution", "number":"AB287826-CMP07", "productcode":"" }, { "size":"1 x 60 µL", "name":"Biotin-Detection antibody (Lyophilized)", "number":"AB287826-CMP12", "productcode":"" }, { "size":"1 x 200 µL", "name":"Purified water", "number":"AB287826-CMP13", "productcode":"" } ] } } }

Properties and storage information

Shipped at conditions
Blue Ice
Appropriate short-term storage conditions
+4°C
Appropriate long-term storage conditions
+4°C
Storage information
+4°C

Product protocols

websiteProtocolBooklet
en

Product promise

We are committed to supporting your work with high-quality reagents, and we're here for you every step of the way. In the unlikely event that one of our products does not perform as expected, you're protected by our Product Promise.
For full details, please see our Terms & Conditions

Please note: All products are 'FOR RESEARCH USE ONLY. NOT FOR USE IN DIAGNOSTIC OR THERAPEUTIC PROCEDURES'.

For licensing inquiries, please contact partnerships@abcam.com