JavaScript is disabled in your browser. Please enable JavaScript to view this website.
AB313489

Anti-RIP Antibody [RP23040227]

Be the first to review this product! Submit a review

|

(0 Publication)

Rabbit Recombinant Monoclonal RIP antibody. Suitable for ICC/IF, WB and reacts with Human samples. Immunogen corresponding to Recombinant Fragment Protein within Human RIPK1.

View Alternative Names

RIP, RIP1, RIPK1, Receptor-interacting serine/threonine-protein kinase 1, Cell death protein RIP, Receptor-interacting protein 1, RIP-1

3 Images
Immunocytochemistry/ Immunofluorescence - Anti-RIP Antibody [RP23040227] (AB313489)
  • ICC/IF

Supplier Data

Immunocytochemistry/ Immunofluorescence - Anti-RIP Antibody [RP23040227] (AB313489)

Immunofluorescent analysis of HT29 cells transfected with RIPK1 specific siRNA fixed with 4% formaldehyde reconstituted in 1X PBS for 10 min at room temperature and permabilized using 0.1 % Triton X-100 in PBS for 15 min at room temperature labeling RIPK1 with ab313489 at 5 ?g/mL followed by Goat anti-Rabbit IgG (H+L) Secondary Antibody, Alexa Fluor 488 conjugate at 1/2000 dilution. Panel a-d) untransfected HT29 cells. Panel b, e) HT29 cells transfected with non-specific scrambled siRNA. Panel c,f) HT29 cells transfected with RIPK1 specific siRNA. Nuclei (blue) were stained using DAPI, and Rhodamine Phalloidin at 1/300 dilution. was used for cytoskeletal F-actin (red) staining. Loss of signal was observed upon siRNA mediated knockdown (panel c,f) confirming specificity of the antibody to RIPK1 (green). The images were captured at 60X magnification

Immunocytochemistry/ Immunofluorescence - Anti-RIP Antibody [RP23040227] (AB313489)
  • ICC/IF

Supplier Data

Immunocytochemistry/ Immunofluorescence - Anti-RIP Antibody [RP23040227] (AB313489)

Immunofluorescent analysis of COLO-205 cells fixed with 4% formaldehyde reconstituted in 1X PBS for 10 min at room temperature and permabilized using 0.1 % Triton X-100 in PBS for 15 min at room temperature labeling endogenous RIPK1 with ab313489 at 5 ?g/mL dilution followed by Goat anti-Rabbit IgG (H+L) Secondary Antibody, Alexa Fluor 488 conjugate at 1/2000 dilution. Panel a) shows representative cells that were stained for detection and localization of RIPK1 protein (green), Panel b) is stained for nuclei (blue) using DAPI. Panel c) represents cytoskeletal F-actin staining using Rhodamine Phalloidin at 1/300 dilution. Panel d) is a composite image of Panels a, b and c clearly demonstrating cytoplasmic localization of RIPK1. Panel represents control cells with no primary antibody to assess background. Panel f) represents SW480 cells which is negative for RIPK1 showing no signal.

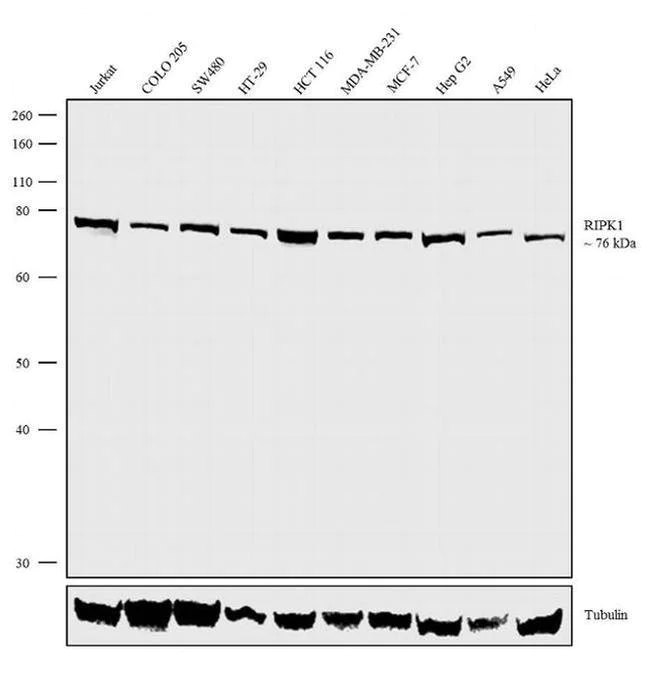
Western blot - Anti-RIP Antibody [RP23040227] (AB313489)
  • WB

Supplier Data

Western blot - Anti-RIP Antibody [RP23040227] (AB313489)

All lanes:

Western blot - Anti-RIP Antibody [RP23040227] (ab313489) at 2.5 µg/mL

Lane 1:

Jurkat cell lysate at 30 µg

Lane 2:

COLO205 cell lysate at 30 µg

Lane 3:

SW480 cell lysate at 30 µg

Lane 4:

HT29 cell lysate at 30 µg

Lane 5:

HCT116 cell lysate at 30 µg

Lane 6:

MDA-MB-231 cell lysate at 30 µg

Lane 7:

MCF7 cell lysate at 30 µg

Lane 8:

HepG2 cell lysate at 30 µg

Lane 9:

A549 cell lysate at 30 µg

Lane 10:

HeLa cell lysate at 30 µg

Secondary

All lanes:

Goat anti-Rabbit IgG (H+L) Secondary Antibody, HRP conjugate at 1/4000 dilution

Observed band size: 76 kDa

true

Key facts

Host species

Rabbit

Clonality

Monoclonal

Clone number

RP23040227

Isotype

IgG

Carrier free

No

Reacts with

Human

Applications

WB, ICC/IF

applications

Immunogen

Recombinant Fragment Protein within Human RIPK1.

Q13546

Reactivity data

{ "title": "Reactivity Data", "filters": { "stats": ["", "Species", "Dilution Info", "Notes"], "tabs": { "all-applications": {"fullname" : "All Applications", "shortname": "All Applications"}, "ICCIF" : {"fullname" : "Immunocytochemistry/ Immunofluorescence", "shortname":"ICC/IF"}, "WB" : {"fullname" : "Western blot", "shortname":"WB"} }, "product-promise": { "all": "all", "testedAndGuaranteed": "tested", "guaranteed": "expected", "predicted": "predicted", "notRecommended": "not-recommended" } }, "values": { "Human": { "ICCIF-species-checked": "testedAndGuaranteed", "ICCIF-species-dilution-info": "5 µg/mL", "ICCIF-species-notes": "<p></p>", "WB-species-checked": "testedAndGuaranteed", "WB-species-dilution-info": "2.5 µg/mL", "WB-species-notes": "<p></p>" } } }

Product details

What are recombinant multiclonals?
Recombinant multiclonals are a mixture of recombinant antibodies co-expressed from a library of heavy and light chains. They offer several advantages including:

  • - The sensitivity of polyclonal antibodies by recognising multiple epitopes
  • - High batch-to-batch consistency and reproducibility
  • - Improved sensitivity and specificity
  • - Long-term security of supply
  • - Animal-free batch production

View our range of recombinant multiclonal antibodies.

Properties and storage information

Form
Liquid
Purification technique
Affinity purification Protein A
Storage buffer
pH: 7.4 Preservative: 0.09% Sodium azide Constituents: 99.91% PBS
Shipped at conditions
Blue Ice
Appropriate short-term storage conditions
+4°C
Appropriate long-term storage conditions
-20°C

Supplementary information

This supplementary information is collated from multiple sources and compiled automatically.

RIP also known as Receptor-Interacting Protein or RIPK1 is a serine/threonine-protein kinase with a mass of approximately 74 kDa. It plays an important role in cell death and survival signaling pathways. RIP is expressed ubiquitously across various tissues indicating its importance in many cellular functions. The protein contains a kinase domain an intermediate domain for protein-protein interactions and a death domain which facilitates its involvement in apoptotic signaling processes.
Biological function summary

Receptor-Interacting Protein Kinase 1 (RIPK1) participates in regulating both necroptosis and apoptosis distinguishing itself as an important mediator in cell death mechanisms. As part of the necrosome complex which includes RIPK3 and MLKL RIPK1 functions in necroptosis—a programmed form of necrosis. This characteristic involvement shows its dual role in maintaining cell fate decisions making it an integral part of immune response and inflammation control.

Pathways

RIPK1 strongly associates with the TNF signaling pathway and NF-kB pathway. Its interaction with TNF receptor 1 (TNFR1) and consequent involvement with TRADD and TRAF2 mediates the signal transduction necessary for the activation of NF-kB leading to transcription of genes involved in survival and inflammation. This connection illustrates its capability to switch between promoting cell survival through NF-kB and facilitating cell death via necroptosis or apoptosis depending on cellular context and cues.

RIPK1 plays a significant role in conditions such as inflammatory diseases and neurodegenerative disorders. Its overactivation results in excessive cell death implicated in inflammatory conditions; necrostatin a necroptosis inhibitor targets RIPK1 to potentially mitigate this damage. Furthermore RIPK1's dysregulation links to Alzheimer's disease where it can interact with components like RIPK3 to exacerbate neurodegenerative processes. This relationship underlines the potential of targeting RIPK1 therapeutically to manage inflammation and neurodegeneration.

Product protocols

For this product, it's our understanding that no specific protocols are required. You can visit:

Target data

Serine-threonine kinase which is a key regulator of TNF-mediated apoptosis, necroptosis and inflammatory pathways (PubMed : 17703191, PubMed : 24144979, PubMed : 31827280, PubMed : 31827281, PubMed : 32657447, PubMed : 35831301). Exhibits kinase activity-dependent functions that regulate cell death and kinase-independent scaffold functions regulating inflammatory signaling and cell survival (PubMed : 11101870, PubMed : 19524512, PubMed : 19524513, PubMed : 29440439, PubMed : 30988283). Has kinase-independent scaffold functions : upon binding of TNF to TNFR1, RIPK1 is recruited to the TNF-R1 signaling complex (TNF-RSC also known as complex I) where it acts as a scaffold protein promoting cell survival, in part, by activating the canonical NF-kappa-B pathway (By similarity). Kinase activity is essential to regulate necroptosis and apoptosis, two parallel forms of cell death : upon activation of its protein kinase activity, regulates assembly of two death-inducing complexes, namely complex IIa (RIPK1-FADD-CASP8), which drives apoptosis, and the complex IIb (RIPK1-RIPK3-MLKL), which drives necroptosis (By similarity). RIPK1 is required to limit CASP8-dependent TNFR1-induced apoptosis (By similarity). In normal conditions, RIPK1 acts as an inhibitor of RIPK3-dependent necroptosis, a process mediated by RIPK3 component of complex IIb, which catalyzes phosphorylation of MLKL upon induction by ZBP1 (PubMed : 19524512, PubMed : 19524513, PubMed : 29440439, PubMed : 30988283). Inhibits RIPK3-mediated necroptosis via FADD-mediated recruitment of CASP8, which cleaves RIPK1 and limits TNF-induced necroptosis (PubMed : 19524512, PubMed : 19524513, PubMed : 29440439, PubMed : 30988283). Required to inhibit apoptosis and necroptosis during embryonic development : acts by preventing the interaction of TRADD with FADD thereby limiting aberrant activation of CASP8 (By similarity). In addition to apoptosis and necroptosis, also involved in inflammatory response by promoting transcriptional production of pro-inflammatory cytokines, such as interleukin-6 (IL6) (PubMed : 31827280, PubMed : 31827281). Phosphorylates RIPK3 : RIPK1 and RIPK3 undergo reciprocal auto- and trans-phosphorylation (PubMed : 19524513). Phosphorylates DAB2IP at 'Ser-728' in a TNF-alpha-dependent manner, and thereby activates the MAP3K5-JNK apoptotic cascade (PubMed : 15310755, PubMed : 17389591). Required for ZBP1-induced NF-kappa-B activation in response to DNA damage (By similarity).
See full target information RIPK1

Product promise

We are committed to supporting your work with high-quality reagents, and we're here for you every step of the way. In the unlikely event that one of our products does not perform as expected, you're protected by our Product Promise.
For full details, please see our Terms & Conditions

Please note: All products are 'FOR RESEARCH USE ONLY. NOT FOR USE IN DIAGNOSTIC OR THERAPEUTIC PROCEDURES'.

For licensing inquiries, please contact partnerships@abcam.com