JavaScript is disabled in your browser. Please enable JavaScript to view this website.
AB221397

Recombinant human IL-2 Receptor alpha protein (Active)

Be the first to review this product! Submit a review

|

(0 Publication)

Recombinant human IL-2 Receptor alpha protein (Active) is a Human Fragment protein, in the 22 to 213 aa range, expressed in HEK 293 cells, with >95%, < 1 EU/µg endotoxin level, suitable for SDS-PAGE, FuncS.

View Alternative Names

CD25, Interleukin-2 receptor subunit alpha, IL-2 receptor subunit alpha, IL-2-RA, IL-2R subunit alpha, IL2-RA, TAC antigen, p55, IL2RA

5 Images
Functional Studies - Recombinant human IL-2 Receptor alpha protein (Active) (AB221397)
  • FuncS

Unknown

Functional Studies - Recombinant human IL-2 Receptor alpha protein (Active) (AB221397)

Immobilized Biotinylated Human IL-2, Fc,Avitag at 1 μg/mL (100 μL/well) on streptavidin precoated (0.2 μg/well) plate, can bind ab221397 with a linear range of 1-39 ng/mL.

Functional Studies - Recombinant human IL-2 Receptor alpha protein (Active) (AB221397)
  • FuncS

Supplier Data

Functional Studies - Recombinant human IL-2 Receptor alpha protein (Active) (AB221397)

ab221397 inhibits the IL-2 dependent proliferatino of Mo7e cells. The EC50 for this effect is 0.35-0.77 μg/mL.

Functional Studies - Recombinant human IL-2 Receptor alpha protein (Active) (AB221397)
  • FuncS

Supplier Data

Functional Studies - Recombinant human IL-2 Receptor alpha protein (Active) (AB221397)

Loaded ab221397 on HIS1K Biosensor, can bind Human IL-2, Tag Free with an affinity constant of 18 nM as determined in BLI assay (ForteBio Octet Red96e).

Functional Studies - Recombinant human IL-2 Receptor alpha protein (Active) (AB221397)
  • FuncS

Unknown

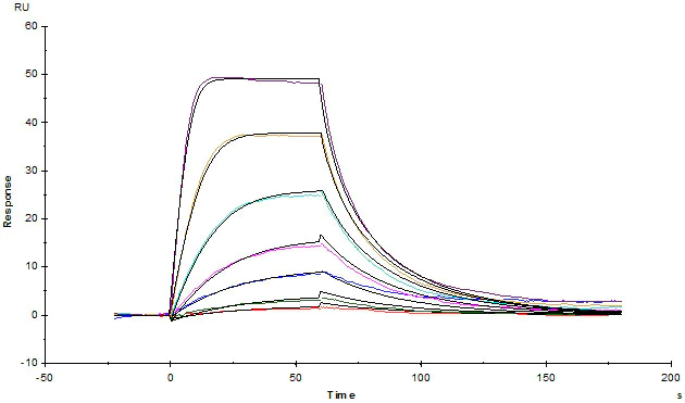
Functional Studies - Recombinant human IL-2 Receptor alpha protein (Active) (AB221397)

ab221397 captured on CM5 chip via anti-His antibody, can bind Human IL-2, Tag Free with an affinity constant of 29.9 nM as determined in a SPR assay (Biacore T200).

SDS-PAGE - Recombinant human IL-2 Receptor alpha protein (Active) (AB221397)
  • SDS-PAGE

Unknown

SDS-PAGE - Recombinant human IL-2 Receptor alpha protein (Active) (AB221397)

SDS-PAGE of reduced ab221397 stained overnight with Coomassie Blue. The protein migrates as 34-46 kDa under reducing conditions due to glycosylation.

Key facts

Purity

>95% SDS-PAGE

Endotoxin level

< 1 EU/µg

Expression system

HEK 293 cells

Tags

His tag C-Terminus

Applications

SDS-PAGE, FuncS

applications

Biologically active

Yes

Biological activity

Measured by its binding ability in a functional ELISA. Immobilized Human IL-2, Tag Free at 5 μg/mL (100 μL/well) can bind ab221397 with a linear range of 0.01-1.11 μg/mL.

Accession

P01589

Animal free

No

Carrier free

No

Species

Human

Reconstitution

Reconstitute at 400 µg/mL in water

Storage buffer

pH: 7.4 Constituents: PBS, 5% Trehalose

storage-buffer

Reactivity data

{ "title": "Reactivity Data", "filters": { "stats": ["", "Reactivity", "Dilution Info", "Notes"] }, "values": { "SDS-PAGE": { "reactivity":"TESTED_AND_REACTS", "dilution-info":"", "notes":"<p></p>" }, "FuncS": { "reactivity":"TESTED_AND_REACTS", "dilution-info":"", "notes":"<p></p>" } } }

Product details

This product is stable after storage at:

  • -20°C to -70°C for 12 months in lyophilized state;
  • -70°C for 3 months under sterile conditions after reconstitution.

Sequence info

[{"sequence":"ELCDDDPPEIPHATFKAMAYKEGTMLNCECKRGFRRIKSGSLYMLCTGNSSHSSWDNQCQCTSSATRNTTKQVTPQPEEQKERKTTEMQSPMQPVDQASLPGHCREPPPWENEATERIYHFVVGQMVYYQCVQGYRALHRGPAESVCKMTHGKTRWTQPQLICTGEMETSQFPGEEKPQASPEGRPESETSC","proteinLength":"Fragment","predictedMolecularWeight":"23.6 kDa","actualMolecularWeight":null,"aminoAcidEnd":213,"aminoAcidStart":22,"nature":"Recombinant","expressionSystem":"HEK 293 cells","accessionNumber":"P01589","tags":[{"tag":"His","terminus":"C-Terminus"}]}]

Properties and storage information

Shipped at conditions
Blue Ice
Appropriate short-term storage conditions
-20°C
Appropriate long-term storage conditions
-20°C
Aliquoting information
Upon delivery aliquot
Storage information
Avoid freeze / thaw cycle
True

Specifications

Form

Lyophilized

General info

Function

Receptor for interleukin-2. The receptor is involved in the regulation of immune tolerance by controlling regulatory T cells (TREGs) activity. TREGs suppress the activation and expansion of autoreactive T-cells.

Product protocols

Target data

Receptor for interleukin-2. The receptor is involved in the regulation of immune tolerance by controlling regulatory T cells (TREGs) activity. TREGs suppress the activation and expansion of autoreactive T-cells.
See full target information IL2RA

Product promise

We are committed to supporting your work with high-quality reagents, and we're here for you every step of the way. In the unlikely event that one of our products does not perform as expected, you're protected by our Product Promise.
For full details, please see our Terms & Conditions

Please note: All products are 'FOR RESEARCH USE ONLY. NOT FOR USE IN DIAGNOSTIC OR THERAPEUTIC PROCEDURES'.

For licensing inquiries, please contact partnerships@abcam.com