JavaScript is disabled in your browser. Please enable JavaScript to view this website.
AB217817

Recombinant Human Serum Albumin protein (His tag)

Be the first to review this product! Submit a review

|

(2 Publications)

Recombinant Human Serum Albumin protein (His tag) is a Human Full Length protein, in the 25 to 609 aa range with >95% purity, < 1 EU/µg endotoxin level and suitable for SDS-PAGE and Functional studies. The predicted molecular weight of ab217817 protein is 67.3 kDa.

- Save time and ensure accurate results - use our Serum Albumin protein as a control
- Optimal protein bioactivity, stability and reproducibility

View Alternative Names

GIG20, GIG42, PRO0903, PRO1708, PRO2044, PRO2619, PRO2675, UNQ696/PRO1341, ALB, Albumin

4 Images
Biological Activity - Recombinant Human Serum Albumin protein (His tag) (AB217817)
  • Biological Activity

Supplier Data

Biological Activity - Recombinant Human Serum Albumin protein (His tag) (AB217817)

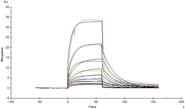
Human Serum Albumin Protein, His Tag (ab217817) immobilized on CM4 Chip can bind Human FCGRT&B2M Heterodimer Protein, His Tag with an affinity constant of 0.381 μM as determined in a SPR assay (Biacore T200) (Routinely tested).

Functional Studies - Recombinant Human Serum Albumin protein (His tag) (AB217817)
  • FuncS

Supplier Data

Functional Studies - Recombinant Human Serum Albumin protein (His tag) (AB217817)

Bioactivity SPR : Immobilized biotinyated Huamn FcRN Heterodimer protein on SA chip can bind ab217817, his tag with an affitinity constant of 1.78μM.

SDS-PAGE - Recombinant Human Serum Albumin protein (His tag) (AB217817)
  • SDS-PAGE

Supplier Data

SDS-PAGE - Recombinant Human Serum Albumin protein (His tag) (AB217817)

SDS-PAGE analysis of DTT-reduced ab217817 followed by staining overnight with Coomassie Blue.

DTT-reduced protein migrates as 66 kDa in SDS-PAGE due to glycosylation.

Size Exclusion Chromatography - Recombinant Human Serum Albumin protein (His tag) (AB217817)
  • Size Exclusion Chromatography

Supplier Data

Size Exclusion Chromatography - Recombinant Human Serum Albumin protein (His tag) (AB217817)

The purity of Human Serum Albumin, His Tag (ab217817) is more than 90% and the molecular weight of this protein is around 60-75 kDa verified by SEC-MALS.

Key facts

Purity

>95% SDS-PAGE

Endotoxin level

< 1 EU/µg

Expression system

HEK 293 cells

Tags

His tag C-Terminus

Applications

SDS-PAGE, FuncS

applications

Biologically active

Yes

Biological activity

ab217817 immobilized on CM4 Chip can bind Human FCGRT&B2M Heterodimer Protein with an affinity constant of 0.381 μM as determined in a SPR assay.

Accession

P02768

Animal free

No

Carrier free

No

Species

Human

Reconstitution

Reconstitute at 200 µg/mL in water

Storage buffer

pH: 7.4 Constituents: 90% PBS, 10% Trehalose

storage-buffer

Reactivity data

{ "title": "Reactivity Data", "filters": { "stats": ["", "Reactivity", "Dilution Info", "Notes"] }, "values": { "SDS-PAGE": { "reactivity":"TESTED_AND_REACTS", "dilution-info":"", "notes":"<p></p>" }, "FuncS": { "reactivity":"TESTED_AND_REACTS", "dilution-info":"", "notes":"<p></p>" } } }

You may be interested in:

AB235628

Albumin (BCG) Assay Kit (Colorimetric)

0

0 Reviews

View product

We recommend this product because it’s often used in the same experiment or related research.

We advise that you always check the datasheet to ensure it fits your experiments, or contact ourtechnical teamfor help.

Product details

Ensure the validity of your result using our bioactive recombinant human Serum Albumin protein (His tag) ab217817 as a positive control in SDS-PAGE. The rHSA ab217817 molecular weight is 67.3 kDa.


Check out our protein gel staining guide for SDS-PAGE here

Sequence info

[{"sequence":"DAHKSEVAHRFKDLGEENFKALVLIAFAQYLQQCPFEDHVKLVNEVTEFAKTCVADESAENCDKSLHTLFGDKLCTVATLRETYGEMADCCAKQEPERNECFLQHKDDNPNLPRLVRPEVDVMCTAFHDNEETFLKKYLYEIARRHPYFYAPELLFFAKRYKAAFTECCQAADKAACLLPKLDELRDEGKASSAKQRLKCASLQKFGERAFKAWAVARLSQRFPKAEFAEVSKLVTDLTKVHTECCHGDLLECADDRADLAKYICENQDSISSKLKECCEKPLLEKSHCIAEVENDEMPADLPSLAADFVESKDVCKNYAEAKDVFLGMFLYEYARRHPDYSVVLLLRLAKTYETTLEKCCAAADPHECYAKVFDEFKPLVEEPQNLIKQNCELFEQLGEYKFQNALLVRYTKKVPQVSTPTLVEVSRNLGKVGSKCCKHPEAKRMPCAEDYLSVVLNQLCVLHEKTPVSDRVTKCCTESLVNRRPCFSALEVDETYVPKEFNAETFTFHADICTLSEKERQIKKQTALVELVKHKPKATKEQLKAVMDDFAAFVEKCCKADDKETCFAEEGKKLVAASQAALGL","proteinLength":"Full Length","predictedMolecularWeight":"67.3 kDa","actualMolecularWeight":null,"aminoAcidEnd":609,"aminoAcidStart":25,"nature":"Recombinant","expressionSystem":"HEK 293 cells","accessionNumber":"P02768","tags":[{"tag":"His","terminus":"C-Terminus"}]}]

Properties and storage information

Shipped at conditions
Blue Ice
Appropriate short-term storage conditions
-20°C|-80°C
Appropriate long-term storage conditions
-20°C|-80°C
Storage information
Avoid freeze / thaw cycle|For long term storage it is recommended to add a carrier protein on reconstitution (0.1% HSA or BSA)
True

Specifications

Form

Lyophilized

Additional notes

>95% as determined by SDS-PAGE.>90% as determined by SEC-MALS.

General info

Function

Binds water, Ca(2+), Na(+), K(+), fatty acids, hormones, bilirubin and drugs (Probable). Its main function is the regulation of the colloidal osmotic pressure of blood (Probable). Major zinc transporter in plasma, typically binds about 80% of all plasma zinc (PubMed : 19021548). Major calcium and magnesium transporter in plasma, binds approximately 45% of circulating calcium and magnesium in plasma (By similarity). Potentially has more than two calcium-binding sites and might additionally bind calcium in a non-specific manner (By similarity). The shared binding site between zinc and calcium at residue Asp-273 suggests a crosstalk between zinc and calcium transport in the blood (By similarity). The rank order of affinity is zinc > calcium > magnesium (By similarity). Binds to the bacterial siderophore enterobactin and inhibits enterobactin-mediated iron uptake of E.coli from ferric transferrin, and may thereby limit the utilization of iron and growth of enteric bacteria such as E.coli (PubMed : 6234017). Does not prevent iron uptake by the bacterial siderophore aerobactin (PubMed : 6234017).

Sequence similarities

Belongs to the ALB/AFP/VDB family.

Post-translational modifications

Kenitra variant is partially O-glycosylated at Thr-620. It has two new disulfide bonds Cys-600 to Cys-602 and Cys-601 to Cys-606.. Glycated in diabetic patients.. Phosphorylated by FAM20C in the extracellular medium.. Acetylated on Lys-223 by acetylsalicylic acid.

Product protocols

For this product, it's our understanding that no specific protocols are required. You can visit:

Target data

Binds water, Ca(2+), Na(+), K(+), fatty acids, hormones, bilirubin and drugs (Probable). Its main function is the regulation of the colloidal osmotic pressure of blood (Probable). Major zinc transporter in plasma, typically binds about 80% of all plasma zinc (PubMed : 19021548). Major calcium and magnesium transporter in plasma, binds approximately 45% of circulating calcium and magnesium in plasma (By similarity). Potentially has more than two calcium-binding sites and might additionally bind calcium in a non-specific manner (By similarity). The shared binding site between zinc and calcium at residue Asp-273 suggests a crosstalk between zinc and calcium transport in the blood (By similarity). The rank order of affinity is zinc > calcium > magnesium (By similarity). Binds to the bacterial siderophore enterobactin and inhibits enterobactin-mediated iron uptake of E.coli from ferric transferrin, and may thereby limit the utilization of iron and growth of enteric bacteria such as E.coli (PubMed : 6234017). Does not prevent iron uptake by the bacterial siderophore aerobactin (PubMed : 6234017).
See full target information ALB

Publications (2)

Recent publications for all applications. Explore the full list and refine your search

The Journal of biological chemistry 299:104998 PubMed37394009

2023

Chlorotoxin binds to both matrix metalloproteinase 2 and neuropilin 1.

Applications

Unspecified application

Species

Unspecified reactive species

Sándor Farkas,Daniel Cioca,József Murányi,Péter Hornyák,Attila Brunyánszki,Patrik Szekér,Eszter Boros,Patrik Horváth,Zoltán Hujber,Gábor Z Rácz,Noémi Nagy,Rebeka Tóth,László Nyitray,Zalán Péterfi

Microbiology spectrum 10:e0269721 PubMed35080440

2022

The Linker Region Promotes Activity and Binding Efficiency of Modular LPMO towards Polymeric Substrate.

Applications

Unspecified application

Species

Unspecified reactive species

Aishwarya Srivastava,Pragya Nagar,Sumit Rathore,Nidhi Adlakha
View all publications

Product promise

We are committed to supporting your work with high-quality reagents, and we're here for you every step of the way. In the unlikely event that one of our products does not perform as expected, you're protected by our Product Promise.
For full details, please see our Terms & Conditions

Associated Products

Select an associated product type
Alternative Product
Proteins & Peptides

AB201876

Recombinant Human Serum Albumin protein

proteins-peptides

recombinant-human-serum-albumin-protein-ab201876

0

(0 reviews)

Alternative Product
Proteins & Peptides

AB205808

Native Human Serum Albumin protein

proteins-peptides

native-human-serum-albumin-protein-ab205808

0

(0 reviews)

Please note: All products are 'FOR RESEARCH USE ONLY. NOT FOR USE IN DIAGNOSTIC OR THERAPEUTIC PROCEDURES'.

For licensing inquiries, please contact partnerships@abcam.com