JavaScript is disabled in your browser. Please enable JavaScript to view this website.
AB256152

Recombinant human Tau (mutated P301L) protein (Active)

Be the first to review this product! Submit a review

|

(0 Publication)

Recombinant human Tau (mutated P301L) protein (Active) is a Human Fragment protein, in the 558 to 697 aa range, expressed in Escherichia coli, with >95%, suitable for SDS-PAGE, WB, FuncS, EM.

View Alternative Names

MAPTL, MTBT1, TAU, MAPT, Microtubule-associated protein tau, Neurofibrillary tangle protein, Paired helical filament-tau, PHF-tau

5 Images
Electron Microscopy - Recombinant human Tau (mutated P301L) protein (Active) (AB256152)
  • EM

Supplier Data

Electron Microscopy - Recombinant human Tau (mutated P301L) protein (Active) (AB256152)

TEM of ab256152 at 150kx magnification. HV=80kV. Fibrils were sonicated and stained with uranyl acetate.

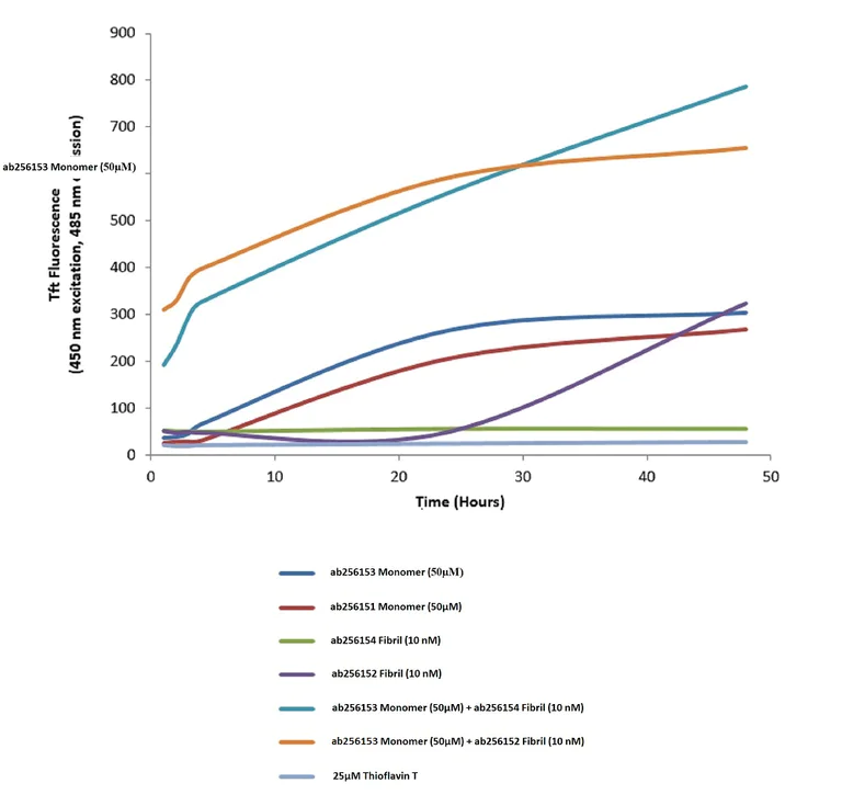
Functional Studies - Recombinant human Tau (mutated P301L) protein (Active) (AB256152)
  • FuncS

Supplier Data

Functional Studies - Recombinant human Tau (mutated P301L) protein (Active) (AB256152)

Thioflavin T emission curves show increased fluorescence (correlated to tau aggregation) over time in tau preformed fibrils (ab256152). Tau preformed fibrils (ab256152) seed the formation of new tau fibrils when combined with tau monomers (ab256153). Thioflavin T ex = 450 nm, em = 485 nm.

Electron Microscopy - Recombinant human Tau (mutated P301L) protein (Active) (AB256152)
  • EM

Supplier Data

Electron Microscopy - Recombinant human Tau (mutated P301L) protein (Active) (AB256152)

TEM of ab256152 at 150kx magnification. HV=80kV.

Electron Microscopy - Recombinant human Tau (mutated P301L) protein (Active) (AB256152)
  • EM

Supplier Data

Electron Microscopy - Recombinant human Tau (mutated P301L) protein (Active) (AB256152)

TEM of ab256152 at 150kx magnification. HV=80kV.

SDS-PAGE - Recombinant human Tau (mutated P301L) protein (Active) (AB256152)
  • SDS-PAGE

Supplier Data

SDS-PAGE - Recombinant human Tau (mutated P301L) protein (Active) (AB256152)

SDS-PAGE - Recombinant human Tau (mutated P301 L) protein (Active) (ab256152).

Key facts

Purity

>95%

Expression system

Escherichia coli

Tags

Tag free

Applications

SDS-PAGE, WB, FuncS, EM

applications

Biologically active

Yes

Biological activity

Thioflavin T emission curves show increased fluorescence (correlated to tau aggregation) over time in tau preformed fibrils (ab256152). Tau preformed fibrils (ab256152) seed the formation of new tau fibrils when combined with tau monomers (ab256153). Thioflavin T ex = 450 nm, em = 485 nm.

Accession

P10636

Animal free

No

Carrier free

No

Species

Human

Storage buffer

pH: 7.4 Constituents: 0.58% Sodium chloride, 0.24% HEPES

storage-buffer

Reactivity data

{ "title": "Reactivity Data", "filters": { "stats": ["", "Reactivity", "Dilution Info", "Notes"] }, "values": { "SDS-PAGE": { "reactivity":"TESTED_AND_REACTS", "dilution-info":"", "notes":"<p></p>" }, "WB": { "reactivity":"TESTED_AND_REACTS", "dilution-info":"", "notes":"<p></p>" }, "FuncS": { "reactivity":"TESTED_AND_REACTS", "dilution-info":"", "notes":"<p></p>" }, "EM": { "reactivity":"TESTED_AND_REACTS", "dilution-info":"", "notes":"<p></p>" } } }

Product details

Pre-formed Fibrils.

For best results, sonicate immediately prior to use.

Sequence info

[{"sequence":"SRLQTAPVPMPDLKNVKSKIGSTENLKHQPGGGKVQIINKKLDLSNVQSKCGSKDNIKHVLGGGSVQIVYKPVDLSKVTSKCGSLGNIHHKPGGGQVEVKSEKLDFKDRVQSKIGSLDNITHVPGGGNKKIETHKLTFRE","proteinLength":"Fragment","predictedMolecularWeight":"15.1 kDa","actualMolecularWeight":null,"aminoAcidEnd":697,"aminoAcidStart":558,"nature":"Recombinant","expressionSystem":"Escherichia coli","accessionNumber":"P10636","tags":[]}]

Properties and storage information

Shipped at conditions
Dry Ice
Appropriate short-term storage conditions
-80°C
Appropriate long-term storage conditions
-80°C
True

Supplementary information

This supplementary information is collated from multiple sources and compiled automatically.

Tau also known as microtubule-associated protein Tau (MAPT) plays an important role in stabilizing microtubules in neuronal cells. Tau is primarily found in the central nervous system but also exists in peripheral neurons. Human Tau protein comes in six isoforms due to alternative splicing with molecular weights ranging from 48 kDa to 67 kDa. This protein predominantly locates in the axons of neurons where it maintains the stability of microtubule tracks necessary for axonal transport.
Biological function summary

Tau is involved in the assembly and stabilization of microtubules essential for maintaining neuronal structure. It interacts with microtubule-binding domains (MBD) to bind and bundle microtubules facilitating intracellular transport. Tau forms a part of the neuronal cytoskeleton complex working closely with other cytoskeletal proteins to preserve the proper axonal transport and function. Abnormally phosphorylated Tau often termed phospho-Tau disrupts this complex affecting microtubule stability.

Pathways

Tau has critical involvement in several signaling cascades such as the microtubule-binding and transport pathways. Glycogen synthase kinase 3 beta (GSK3β) and cyclin-dependent kinase 5 (CDK5) frequently phosphorylate Tau controlling its interaction with microtubules. Phosphorylated Tau accumulates leading to the formation of neurofibrillary tangles often observed in neurodegenerative conditions. Additionally Tau interacts with GAPDH impacting cellular energy regulation through potential pathway cross-talk involving oxidative stress responses.

Tau is closely associated with Alzheimer's disease and frontotemporal dementia. In Alzheimer's disease hyperphosphorylated Tau aggregates into paired helical filaments forming neurofibrillary tangles while similar aggregates are observed in frontotemporal dementia. In these conditions Tau links to amyloid precursor protein (APP) where misregulated phosphorylation-driven interactions contribute to neurodegeneration. Identifying phospho-Tau and its altered interactions with related proteins aids in understanding and potentially treating these disorders.

Specifications

Form

Liquid

General info

Function

The protein expressed by the MAPT gene promotes microtubule assembly and stability and might be involved in establishing and maintaining neuronal polarity. Its C-terminus binds axonal microtubules, and the N-terminus binds neural plasma membrane components, suggesting that tau functions as a linker protein between the two. Axonal polarity is predetermined by MAPT localization within the neuronal cell's domain defined by the centrosome. The short isoforms allow cytoskeleton plasticity, whereas the longer isoforms may preferentially play a role in its stabilization. This supplementary information is collated from multiple sources and compiled automatically.

Post-translational modifications

Phosphorylation at serine and threonine residues in S-P or T-P motifs by proline-directed protein kinases (PDPK1, CDK1, CDK5, GSK3, MAPK) (only 2-3 sites per protein in interphase, seven-fold increase in mitosis, and in the form associated with paired helical filaments (PHF-tau)), and at serine residues in K-X-G-S motifs by MAP/microtubule affinity-regulating kinase (MARK1, MARK2, MARK3 or MARK4), causing detachment from microtubules, and their disassembly (PubMed:23666762, PubMed:7706316). Phosphorylation decreases with age. Phosphorylation within tau/MAP's repeat domain or in flanking regions seems to reduce tau/MAP's interaction with, respectively, microtubules or plasma membrane components (PubMed:7706316). Phosphorylation on Ser-610, Ser-622, Ser-641 and Ser-673 in several isoforms during mitosis. Phosphorylation at Ser-548 by GSK3B reduces ability to bind and stabilize microtubules. Phosphorylation at Ser-579 by BRSK1 and BRSK2 in neurons affects ability to bind microtubules and plays a role in neuron polarization. Phosphorylated at Ser-554, Ser-579, Ser-602, Ser-606 and Ser-669 by PHK. Phosphorylation at Ser-214 by SGK1 mediates microtubule depolymerization and neurite formation in hippocampal neurons. There is a reciprocal down-regulation of phosphorylation and O-GlcNAcylation. Phosphorylation on Ser-717 completely abolishes the O-GlcNAcylation on this site, while phosphorylation on Ser-713 and Ser-721 reduces glycosylation by a factor of 2 and 4 respectively. Phosphorylation on Ser-721 is reduced by about 41.5% by GlcNAcylation on Ser-717. Dephosphorylated at several serine and threonine residues by the serine/threonine phosphatase PPP5C.. Polyubiquitinated. Requires functional TRAF6 and may provoke SQSTM1-dependent degradation by the proteasome (By similarity). PHF-tau can be modified by three different forms of polyubiquitination. 'Lys-48'-linked polyubiquitination is the major form, 'Lys-6'-linked and 'Lys-11'-linked polyubiquitination also occur.. O-glycosylated. O-GlcNAcylation content is around 8.2%. There is reciprocal down-regulation of phosphorylation and O-GlcNAcylation. Phosphorylation on Ser-717 completely abolishes the O-GlcNAcylation on this site, while phosphorylation on Ser-713 and Ser-721 reduces O-GlcNAcylation by a factor of 2 and 4 respectively. O-GlcNAcylation on Ser-717 decreases the phosphorylation on Ser-721 by about 41.5%.. Glycation of PHF-tau, but not normal brain TAU/MAPT. Glycation is a non-enzymatic post-translational modification that involves a covalent linkage between a sugar and an amino group of a protein molecule forming ketoamine. Subsequent oxidation, fragmentation and/or cross-linking of ketoamine leads to the production of advanced glycation endproducts (AGES). Glycation may play a role in stabilizing PHF aggregation leading to tangle formation in AD.

Subcellular localisation

Cytoskeleton

Product protocols

Target data

The protein expressed by the MAPT gene promotes microtubule assembly and stability and might be involved in establishing and maintaining neuronal polarity. Its C-terminus binds axonal microtubules, and the N-terminus binds neural plasma membrane components, suggesting that tau functions as a linker protein between the two. Axonal polarity is predetermined by MAPT localization within the neuronal cell's domain defined by the centrosome. The short isoforms allow cytoskeleton plasticity, whereas the longer isoforms may preferentially play a role in its stabilization. This supplementary information is collated from multiple sources and compiled automatically.
See full target information MAPT mutated P301L

Product promise

We are committed to supporting your work with high-quality reagents, and we're here for you every step of the way. In the unlikely event that one of our products does not perform as expected, you're protected by our Product Promise.
For full details, please see our Terms & Conditions

Please note: All products are 'FOR RESEARCH USE ONLY. NOT FOR USE IN DIAGNOSTIC OR THERAPEUTIC PROCEDURES'.

For licensing inquiries, please contact partnerships@abcam.com